Save
BIOCHEM
TOPIC 1: Carbohydrates
1.18 Acidic Polysaccharide
Save
Share
Learn
Content
Leaderboard
Share
Learn
Created by
ena
Visit profile
Cards (2)
Hyaluronic
acid
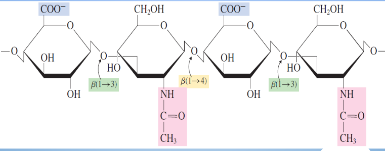
Alternating residues of N-acetyl- β-D-glucosamine and D-glucuronate
Highly viscous and serve as lubricants in the fluid of joints as well as vitreous humor of the eye
Heparin
Polysaccharide with 15–90 disaccharide residues per chain
Blood anticoagulant