Save
...
BB 𓆩⟡𓆪
Enzymes
Lecture 01, 2
Save
Share
Learn
Content
Leaderboard
Share
Learn
Created by
Yasmin
Visit profile
Cards (57)
What is the focus of Enzyme Kinetics?
Determining
kinetic parameters
in enzymology
View source
How do enzymes change in pathological states?
They alter their
concentrations
in diseases
View source
How can kinetic parameters help identify an enzyme's natural substrate?
By using values from
kinetic analysis
View source
What does the initial rate refer to in enzyme kinetics?
Rate of
product formation
over time
View source
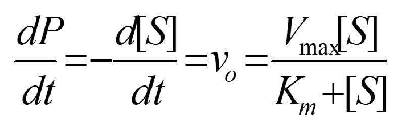
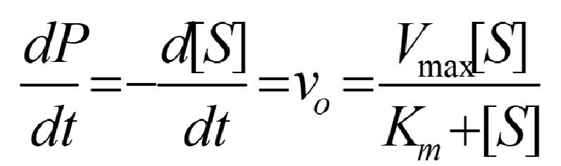
What do Km, Vo, Vmax, and kcat represent?
Kinetic parameters in
enzyme reactions
View source
How can you graphically calculate Km, Vo, and Vmax?
By plotting
product concentration
vs.
time
View source
What issues can lead to non-linear initial rate kinetics?
Problems in
assay conditions
or
enzyme dilution
View source
What is a limitation of initial rate kinetics?
It may not reflect
true enzyme activity
View source
How can kinetics be applied in drug design?
By understanding
in-cell metabolism
View source
What is the role of ACE in the body?
It is involved in
hypertension
View source
What does the gastric H+ ATPase do?
It secretes
gastric acid
and aids
ulcers
View source
What is the function of liver cytochrome P450?
It
metabolises
toxins and
pharmaceuticals
View source
What do ABC ATPases contribute to?
Resistance to
antimicrobials
and
anti-cancer
drugs
View source
What does the term "steady state" refer to in enzyme kinetics?
Constant
concentration of
enzyme-substrate
complex
View source
How is the initial rate obtained from a reaction progress curve?
By taking the
tangent
at the curve's start
View source
What is kcat also known as?
Turnover
number or
catalytic constant
View source
How is Vmax related to kcat?
Vmax =
kcat x [Etrue]
View source
What is the difference between true enzyme concentration and total enzyme concentration?
True
concentration includes only
active
enzyme
View source
How does Vmax change with enzyme concentration?
It
increases
if enzyme concentration is
doubled
View source
What is Km in enzyme kinetics?
Michaelis constant
, a
concentration
term
View source
What does Vo = 0.5Vmax indicate?
Half
saturation of the enzyme
View source
How do you determine kinetic parameters like Km and Vmax?
Using
non-linear
regression analysis
View source
What happens to Vo as substrate concentration increases?
Vo
increases
until it reaches
Vmax
View source
What is a saturation plot in enzyme kinetics?
Graph of
Vo
vs.
substrate
concentration
View source
What does the Michaelis-Menten equation simplify to at low substrate concentrations?
First order
reaction with respect to
[S]
View source
What factors can cause upward curvature in kinetics?
Temperature
control and
inhibitor
loss
View source
What can lead to downward curvature in kinetics?
Enzyme
inactivation
over time
View source
What is the goal of measuring initial rates in enzyme kinetics?
To create a
saturation plot
View source
How do you decide the range of substrate concentrations for a reaction?
By covering at least
90
% of the saturation curve
View source
How do you calculate % saturation of an enzyme?
Using Vo/Vmax = ([
S
])/(
Km
+ [
S
])
View source
What does a Km value of 3 mM indicate in an example?
It is the concentration for
half-maximal
velocity
View source
What range of substrate concentrations should be used for effective saturation coverage?
0.3
Km to
3
Km or
0.1
Km to
10
Km
View source
How many points are needed to cover a saturation curve effectively?
At least
7 points
for accuracy
View source
What is the minimum number of points needed to plot a straight line?
At least
2 points
are required
View source
How many data points are needed if the curve is broken into four straight lines?
9 points
are needed for accuracy
View source
What is the significance of having points both above and below Km?
It provides a
comprehensive
view of kinetics
View source
What is the purpose of the Lineweaver-Burk graph?
To calculate
Vmax
and
Km
values
View source
How do you determine the substrate range for experiments?
By identifying
lowest
and
highest
substrate concentrations
View source
How do you ensure a range of concentrations covers 90% of the saturation curve?
By evenly spreading
five
intermediate concentrations
View source
What does the modified Michaelis-Menten equation represent?
Relationship between
Vo
,
Vmax
,
Km
, and
[S]
View source
See all 57 cards