Save
...
Module 4
Chapter 13
PMT flashcards chapter 13
Save
Share
Learn
Content
Leaderboard
Share
Learn
Created by
sam hughes
Visit profile
Cards (27)
What are alkenes?
Unsaturated
hydrocarbons with at least one
C=C
bond
View source
What is the general formula of alkenes?
CnH2n
View source
How is a ๐ bond formed?
By overlapping
electrons
in adjacent
p orbitals
View source
What bond restricts the rotation of carbon atoms?
๐ bon
d
View source
What is the angle and shape of a double bond?
Trigonal planar
,
120ยฐ
View source
Are alkenes more or less reactive than alkanes? Why?
More reactive due to high
electron density
View source
What intermolecular forces of attraction do alkenes have?
Only
London forces
due to
non-polar bonds
View source
Are alkenes soluble in water? Why?
No, due to
non-polar
bonds
View source
Write an equation for the complete combustion of pent-2-ene.
CH3CH=CHCH2CH3
+ 7ยฝO2 โ 5CO2 +
5H2O
View source
What are the types of isomers that can be formed using alkenes?
E/Z isomers
and
cis-trans isomers
View source
What is an electrophile?
Species that are
electron pair acceptors
View source
What is the most stable type of carbocation intermediate? Why?
Tertiary
carbocation due to
positive inductive effect
View source
Major products will be formed from which kinds of carbocations?
Tertiary
or the most stable available
View source
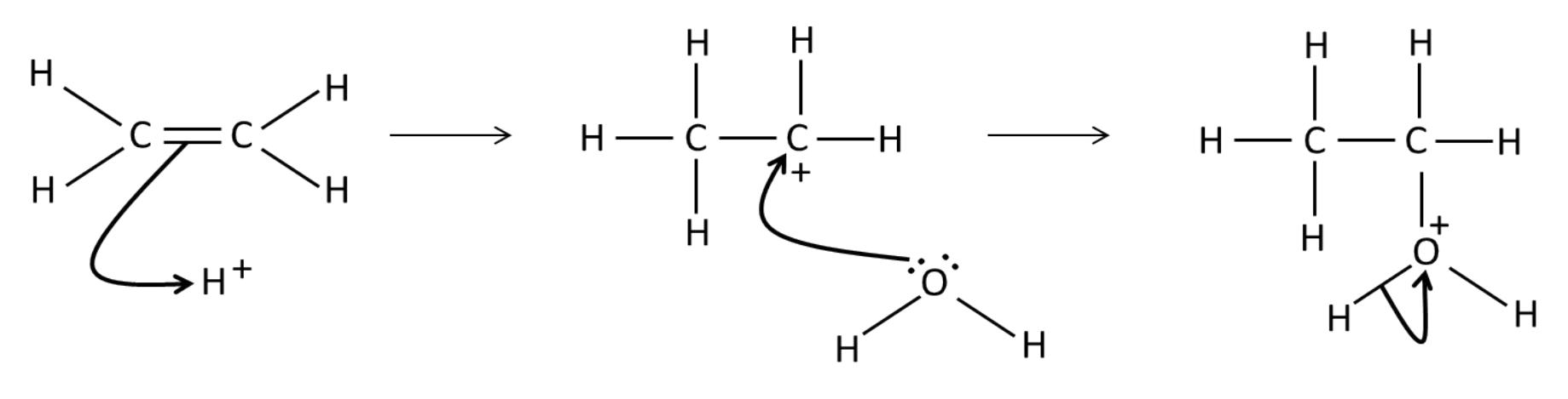
What conditions are needed for the electrophilic addition of H2O to an alkene? What is this type of reaction called?
Steam with
acid catalyst
, called
hydration
View source
What are the product(s) of the hydration reaction?
An
alcohol
View source
What conditions are needed for the electrophilic addition of a hydrogen halide to an alkene?
Hydrogen halide gases at
room temperature
View source
What is the reaction called when a halogen is added to alkene?
Halogenation
View source
How does a molecule with a non-polar bond react as if it is an electrophile?
C=C
double bond
induces a temporary dipole
View source
How can an alkene be converted into alkane? What is the reaction called and what are the required conditions?
Alkene + hydrogen = Alkane, called
hydrogenation
View source
What is an addition polymer?
Many
monomers
bonded without losing
atoms
View source
What are monomers? What form do they usually take?
Molecules that combine to form a
polymer
View source
Draw how you would represent the polymerisation of ethene.
Answer
required
View source
What are the ways in which plastics can be disposed?
Landfill
,
combustion
, electricity generation, reuse, recycle, organic feedstock
View source
What are the disadvantages of recycling?
Sorting,
expensive
,
labor-intensive
,
high technology
View source
How do photodegradable polymers break down?
Using energy with
wavelengths
similar to light
View source
Explain what happens in organic feedstock.
Plastics are broken down into
small organic molecules
View source
Give a disadvantage of photodegradable polymers.
May not be exposed to sufficient
light
View source