Cards (23)

  • Theory (Behavioural Science)

    Set of statements about the mechanisms underlying a particular behaviour, organise and unify different observations of the behaviour and generates predictions about a behaviour,
  • Construct
    hypothetical attributes or mechanisms that help explain and predict a behaviour in a theory
  • Construct
    External factor: reward
    Construct: motivation
    External behaviour: performance
  • Operational definition
    Procedure for indirectly measuring and defining a variable that cannot be observed or measured directly
    • specifies a measurement procedure (set of operations)
    • observable behaviour
    • uses the resulting measurements as definition and measurement of hypothetical construct
  • Causes of variability
    • Differences in participant characteristics (e.g., age, gender, skill level).
    • Differences in participants' prior knowledge, experience, or motivation can influence outcomes.
    • Environmental influences (e.g., noise, time of day).
    • Situational variables such as interruptions or social context (e.g., group vs. individual settings).
    • Measurement errors due to tools or procedures (faulty equipment, human error)
  • Methods to Minimize Variability:
    • Standardizing experimental conditions (controlled variables and settings)
    • Using precise, well-calibrated measurement tools, use digital tools to reduce human error
    • Random sampling to avoid selection biases.
    • Limit participant variability by using inclusion/exclusion criteria (e.g., testing only within a specific age range).
    • Selecting homogenous participant groups when appropriate
    • Use within-subject designs to control for individual differences
    • Repeat and calculate mean
  • Types of validity
    • Face Validity: The extent to which a test appears to measure what it claims to measure
    • Content Validity: Covers the entire range of the construct's dimensions (e.g., measuring all facets of "stress").
    • Criterion Validity: Correlation with external criteria, such as established benchmarks (a new test for anxiety is valid if its results are similar to those of an established anxiety test)
    • Construct Validity: Degree to which the measure aligns with theoretical expectations and related constructs.
  • Types of reliability
    Test-Retest Reliability:
    • Administering the same test to the same participants at two different times.
    • High correlation between results indicates good reliability.
    • Inter-Rater Reliability:
    • Agreement among multiple observers rating the same phenomenon.
    • Useful for subjective measures like coding behaviors or evaluating performances.
    • Internal Consistency:
    • Ensures all parts of a test measure the same construct.
    • Commonly assessed using Cronbach’s alpha (how closely related a set of items are as a group, which helps assess if they reliably measure the same construct)
  • Deviation
    Difference between mean and actual data point
    Take each score and subtract the mean from it
    Can't add deviations, will cancel each other out as some + and some -
  • Quantifying error
    Sum of squared errors (makes negatives into positives, and then add)
  • Quantifying error
    Sum of squared errors (makes negatives into positives, and then add)
  • Problem with SS
    Depends on the number of scores
  • Variance (s²)
    Average variability by dividing by the number of scores (n-1)
  • Population
    Full collection of units to which we want to generalise a set of findings or a statistical model
  • Sample
    A smaller (but still representative) collection of units from a population used to determine truths about the population (n-1)
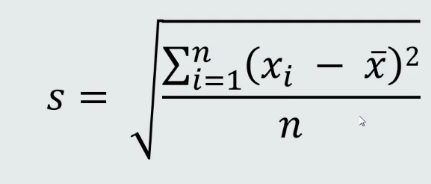
  • Problem with variance
    measured in unit squared ²
    use SD instead
    • large SD: more spread out, further way from mean (less accurate)
    • smaller SD: less spread out, closer to mean (more accurate)
  • What do SS, variance, and SD represent?
    • fit of the mean to the data
    • variability in the data
    • how well mean represents observed data
    • error
  • Test statistics
  • Relative frequency
  • Frequencies
    in histogram = when data have more than two possible values (quantitiative data)
    • if you want to see a proportion (how many people sleep 5+ hours) from the dataset = cumulative distribution
  • Maths and Logs
  • Maths symbols
    >> and << = much greater/less than
    ! = factorial (5! = 5x4x3x2x1)
    ∝ = proportional to
  • Maths on R