Y1 Neuro & Psych [Term II]

Subdecks (5)

Cards (969)

  • Regression coefficients
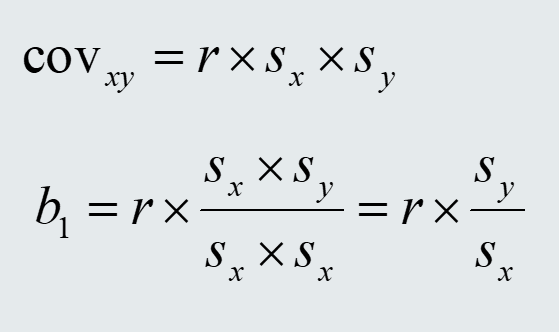
    • We learnt that the Pearson's correlation coefficient r is the ratio of the covariance and combined standard deviation of x and y (i.e. the product) (1),
    • it turns out that the simple regression coefficient b1 can be written as (2)
  • Combining the two expressions
    • Rewriting the first to get an expression for covariance (1)
    • Now entering the cov expression above into the second equation for b1 (2)
    • So the slope b1 is the correlation coefficient r multiplied by the ratio of standard deviations of y and x. If sx and sy are the same (z-scores) r is the regression slope
  • Sum of the Squared Error SSE
    • Appropriate variability estimates help to make inferences from Regressions. To do this, we use the residual variance or error variance for the model.
    • This is how much variability in the DV is not explained by the model.
    • For each data point, we can calculate a residual e
    e i = yi - ypi = yi - (b1xi + b0)
    • From each of these we can get the sum of the squared errors SSE
  • The Mean Square Error MSE
    • From the sum of the squared errors (SSE) we can calculate the Mean Squared Error
  • Standard Error from the MSE
  • Regression parameters from a statistical test
    • From the parameter estimates (b1/b0) and the SEs, we can compute the t-statistic
    • Remember the t-value has a difference between expected and measured values in the numerator and combined SE in the denominator
    • In this specific case, we have
    tN-p = (b1 – bexp)/SEb  ,  the expected value of b is zero for the Null value
    tN-p = (b1 - 0)/SEb
    tN-p = b1/SEb
  • Visualising the sources of variance
  • Quantifying goodness of fit
    • As we considered when doing correlations, we can ask how much of the variability between x and y is accounted for, in this case by the model?
    • This is done with the coefficient of determination R2. For a simple regression with one x variable R2 = r2
    • This value is the proportion of variance in grades accounted for by study time. Going back to the Sum of Squared errors:
    SST = SSM + SSE
    So,
    R2 = SSM/SST = 1 – SSE/SST