Save
...
Paper 1
(4) Mechanics and Materials
(4.2) Materials
Save
Share
Learn
Content
Leaderboard
Share
Learn
Created by
Anduen Tahiri-Mehmeti
Visit profile
Cards (24)
What is the definition of density?
Mass
per unit
volume
View source
What does Hooke's law state about extension?
Extension is directly
proportional
to applied force
View source
What does a straight line graph through the origin indicate?
Force
and
extension
are directly proportional
View source
What is the limit of proportionality?
Point after which
Hooke's law
fails
View source
What happens if the force applied exceeds the elastic limit?
The material deforms plastically
View source
What is the equation for Hooke's law?
F
= kΔL
View source
What does the spring constant (k) measure?
Stiffness
of the spring
View source
What is tensile stress defined as?
Force
applied per unit
cross-sectional area
View source
What is tensile strain defined as?
Extension
over the
original length
View source
How is elastic strain energy calculated?
Area under a
force-extension
graph
View source
What is the formula for elastic strain energy?
Elastic strain energy =
1
2
F
Δ
L
\frac{1}{2}FΔL
2
1
F
Δ
L
View source
What is breaking stress?
Stress
value at which material breaks
View source
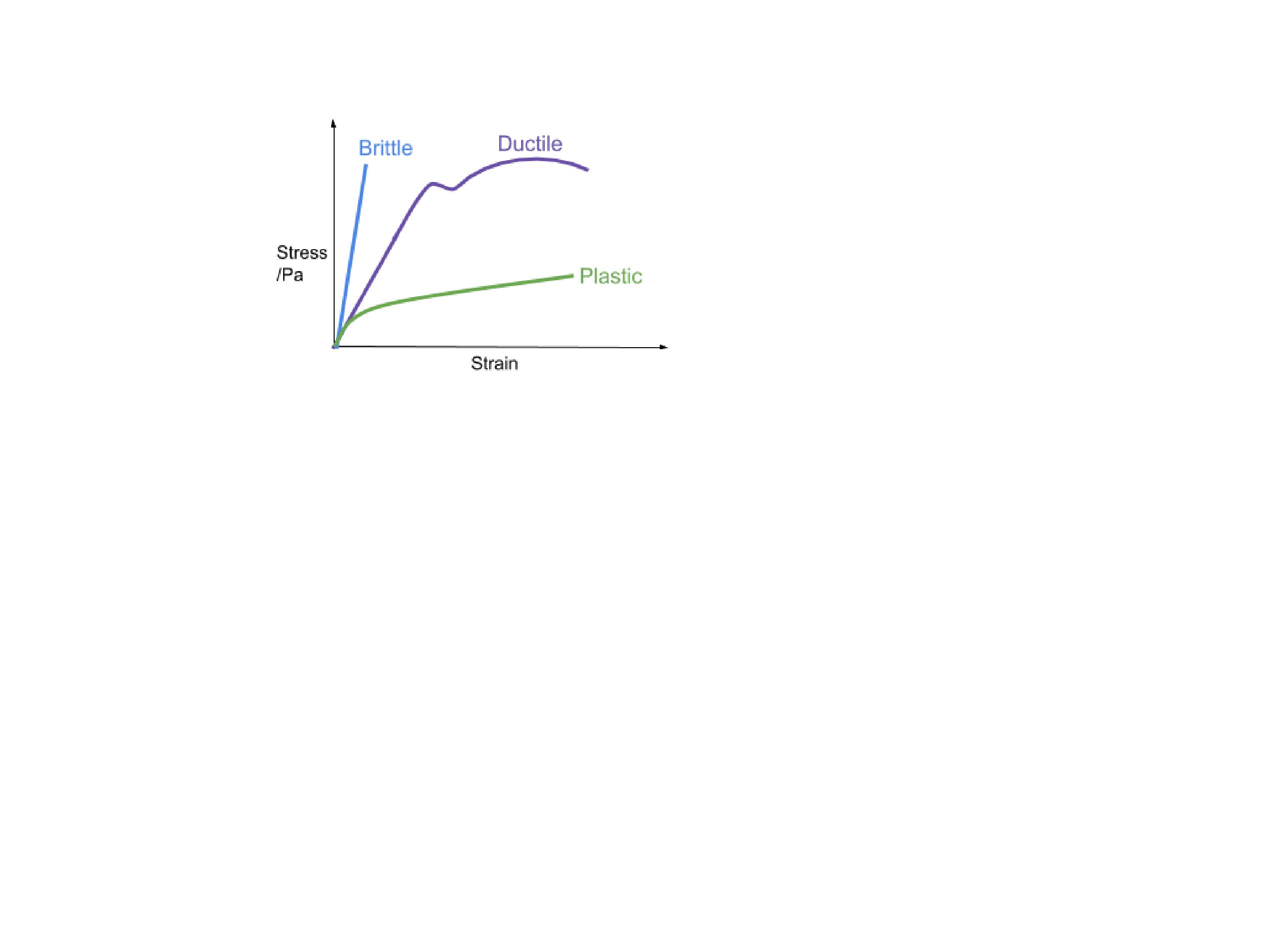
What are the two main behaviors of materials on a force-extension graph?
Plastic
: Large extension beyond
elastic limit
Brittle
: Little extension, likely to fracture
View source
What happens to a force-extension graph after a material is stretched beyond its elastic limit?
Graph does
not
return to
origin
View source
What does the area between loading and unloading lines represent?
Work done
to permanently deform
material
View source
What happens to energy during elastic stretching?
All work is stored as
elastic strain energy
View source
How do crumple zones in cars utilize plastic deformation?
To decrease
kinetic energy
during a crash
View source
What happens to kinetic energy when a spring is stretched and then released?
Converted
back to kinetic energy
View source
What do stress-strain graphs show about materials?
Ultimate tensile stress (UTS)
Material behavior:
ductile
,
brittle
, or
plastic
View source
What is the Young modulus a measure of?
Stiffness
of a material
View source
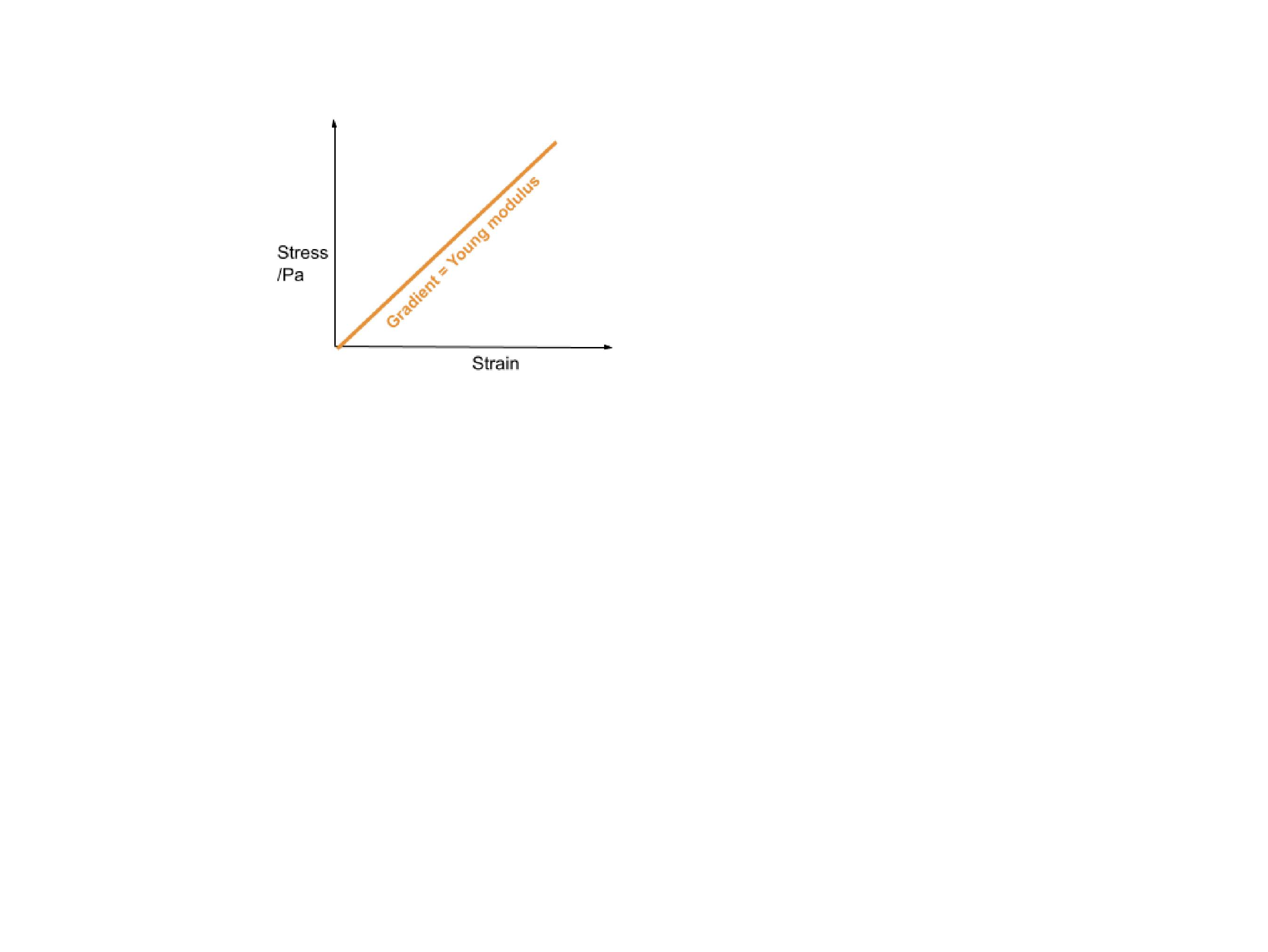
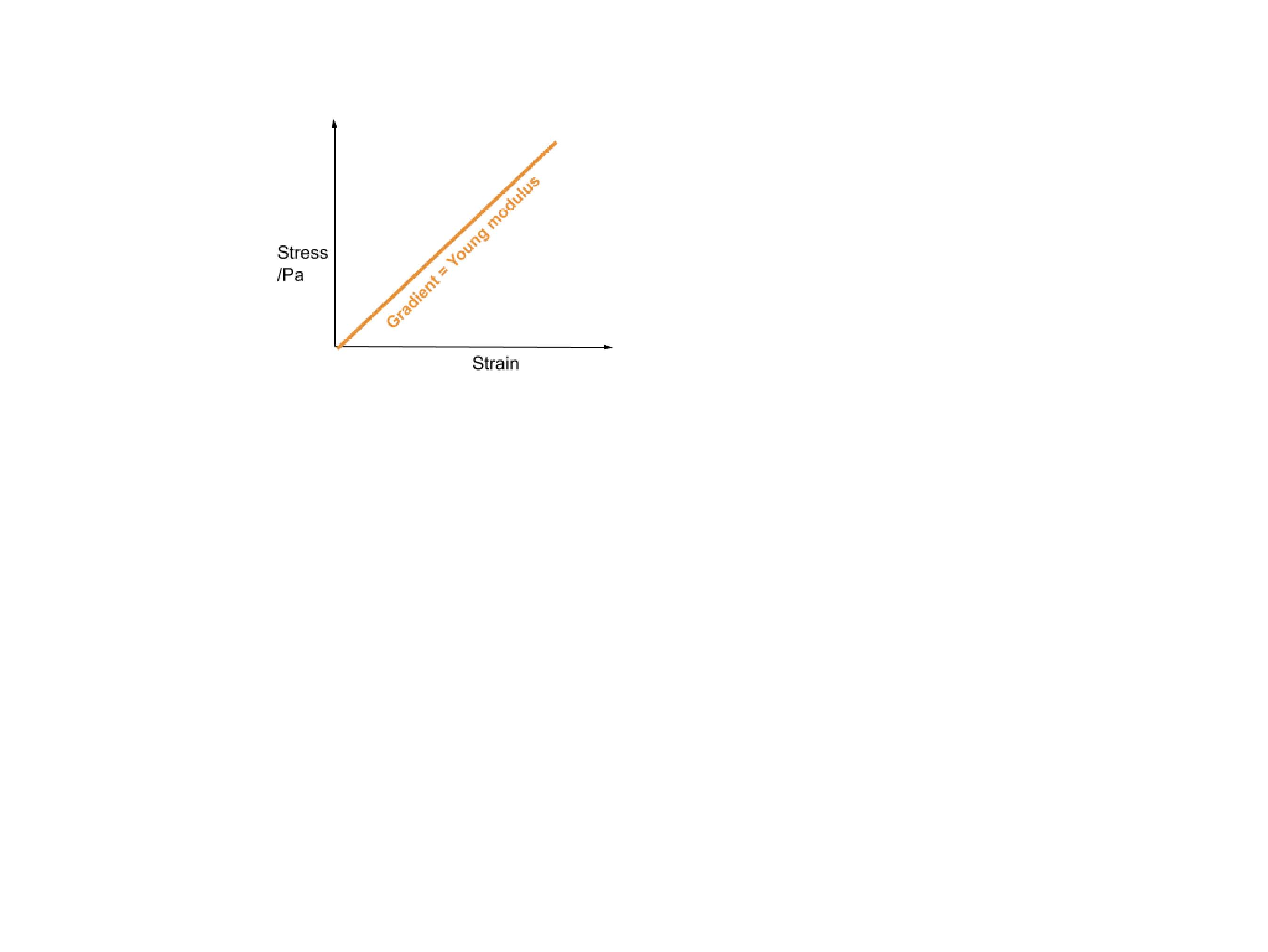
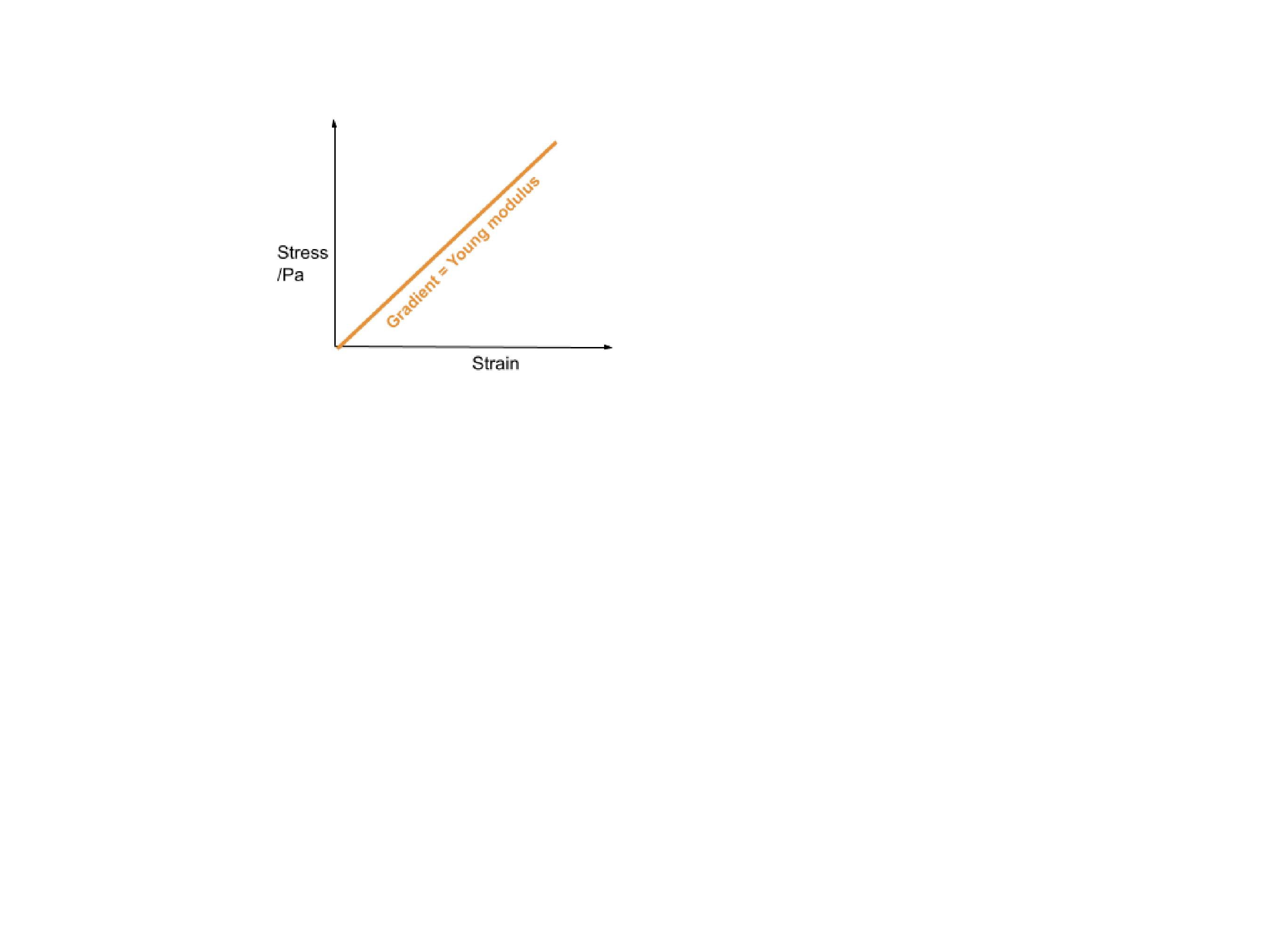
How is the Young modulus defined mathematically?
Stress
over
strain
is constant
View source
What is the formula for Young modulus?
Y =
T
e
n
s
i
l
e
S
t
r
e
s
s
T
e
n
s
i
l
e
S
t
r
a
i
n
\frac{Tensile \ Stress}{Tensile \ Strain}
T
e
n
s
i
l
e
St
r
ain
T
e
n
s
i
l
e
St
ress
View source
How can Young modulus be calculated from a stress-strain graph?
By finding the
gradient
of the straight part
View source
What is the rewritten formula for Young modulus using force and area?
E =
F
L
Δ
L
A
\frac{FL}{ΔLA}
Δ
L
A
F
L
View source