Save
...
Further Mechanics and Thermal Physics
Circular Motion
Angular Speed
Save
Share
Learn
Content
Leaderboard
Share
Learn
Created by
Harry Parker
Visit profile
Cards (14)
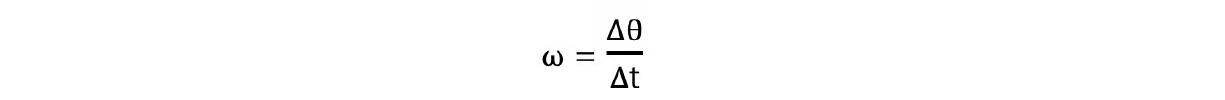
What is angular speed defined as?
Rate of change in
angular displacement
View source
Why does an object in uniform circular motion have changing velocity?
Because it is constantly changing
direction
View source
What is the unit of angular speed?
rad s<sup>-1</sup>
View source
How can angular speed be calculated?
Using change in
angular displacement
over time
View source
What is the angular displacement of a complete cycle?
2π
radians
View source
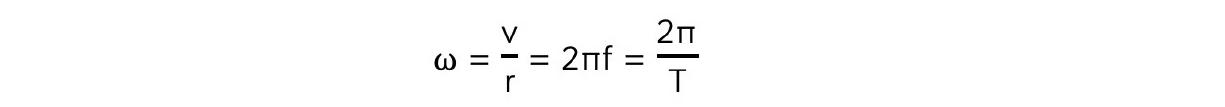
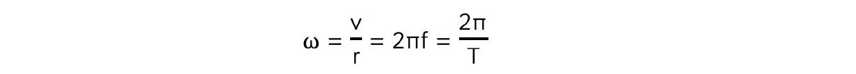
What is the relationship between linear speed, radius, and time period in circular motion?
v = rω, where ω is
angular speed
View source
How does angular velocity differ from angular speed?
Angular velocity is a
vector quantity
View source
What does a greater rotation angle θ in a given time indicate about angular velocity?
It indicates a greater angular velocity
ω
View source
How does the radius of rotation affect angular velocity?
A
larger
radius results in
smaller
angular velocity
View source
How to calculate the linear speed and frequency of an object in circular motion?
Linear speed (v) =
rω
Frequency (f) = ω /
2π
View source
If a bird flies in a circle with an angular speed of 5.25 rad s<sup>-1</sup> and a radius of 650 m, what is the linear speed?
Linear speed =
5.25
*
650
View source
How to find the frequency of a bird flying in a complete circle?
Frequency =
angular speed
/ 2π
View source
What is the formula for angular speed in terms of linear speed and radius?
ω
=
v
/ r
View source
What is the formula for frequency in terms of angular speed?
f =
ω
/
2π
View source