Save
...
Further Mechanics and Thermal Physics
SImple Harmonic Motion
Period of Simple Pendulum
Save
Share
Learn
Content
Leaderboard
Share
Learn
Created by
Harry Parker
Visit profile
Cards (17)
What does a simple pendulum consist of?
A
string
and a
bob
View source
What is the bob of a simple pendulum generally considered to be?
A
point mass
View source
How does the bob of a simple pendulum move?
From
side
to side
View source
What is the nature of the string in a simple pendulum?
Light
and
inextensible
View source
Where is the string of a simple pendulum attached?
To a fixed point above
equilibrium
View source
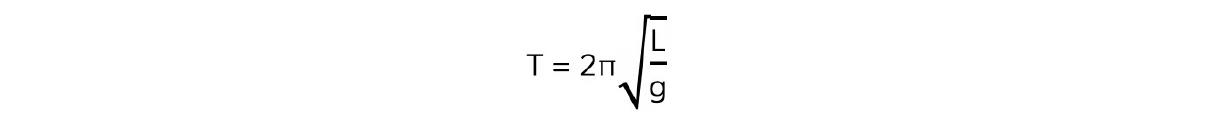
What is the formula for the time period of a simple pendulum?
T =
2π√
(L/
g
)
View source
What does the time period of a simple pendulum depend on?
Gravitational field strength
View source
How would the time period of a pendulum differ on the Moon compared to Earth?
It would be different due to
gravity
View source
What is the small angle approximation for the time period of a pendulum?
Valid for angles θ <
10°
View source
What is the restoring force of the pendulum?
The
weight
component acting along the
arc
View source
How is the restoring force resolved when considering SHM?
Acts at an angle
θ
to the horizontal
View source
What is assumed about the restoring force in small angle approximation?
It acts along the
horizontal
View source
What does sin θ approximate to in small angle approximation?
sin
θ ≅ θ
View source
If a simple pendulum has a time period of 7 s on Earth, how would you calculate its time period on the Moon?
Use the ratio of
gravitational strengths
View source
What is the gravitational field strength on the Moon compared to Earth?
1/6
of that on Earth
View source
What are the key characteristics of a simple pendulum's motion?
Oscillates
back and forth
Period
depends on
length
and
gravity
Small angle approximation
applies for θ <
10°
View source
What factors affect the time period of a simple pendulum?
Length
of the string (L)
Gravitational field strength
(g)
View source