Geometría Analítica

Subdecks (1)

Cards (20)

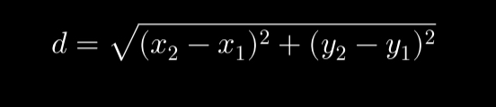
  • La siguiente fórmula se usa para encontrar:
    Distancia entre dos puntos
  • Las siguientes ecuaciones corresponden a:
    Circunferencia
  • Conjunto de puntos que equidistan de un punto fijo llamado centro:
    Circunferencia
  • La siguiente ecuación corresponde a:
    Punto medio de una recta
  • Todos los puntos situados a la misma distancia del punto C forman el lugar geométrico conocido como:
    Circunferencia
  • Fórmula para obtner el Lado Recto de una Parábola:
    4p
  • (xh)2=\left(x-h\right)^2=4p (yk)4p\ \left(y-k\right)
    Esta fórmula corresponde a una parábola que abre hacia arriba
  • (xh)2=\left(x-h\right)^2=4p(yk)-4p\left(y-k\right)
    La siguiente fórmula corresponde a una parábola que abre hacia abajo
  • (yk)2=\left(y-k\right)^2=4p(xh)4p\left(x-h\right)
    Esta fórmula corresponde a una parábola que abre hacia la derecha
  • (yk)2=\left(y-k\right)^2=4p(xh)-4p\left(x-h\right)
    La fórmula mostrada corresponde a una parábola que abre hacia la izquierda:
  • Lugar geométrico de los puntos que equidistan de un punto fijo llamado Foco (F) y de una recta fija llamada Directriz (DD´)
    Parabola
  • Lugar geométrico de los puntos, tales que la suma de las ditancias de cada uno, a dos puntos fijos llamados focos, es constante y mayor que la distancia entre los focos.
    Elipse
  • x2a2+\frac{x^2}{a^2}+y2b2=\frac{y^2}{b^2}=11
    Esta ecuación corresponde a una elipse
  • e=e=ca\frac{c}{a}
    Esta fórmula es para sacar la excentricidad de una elipse
  • LD =LD\ = 2b2a\ \frac{2b^2}{a}
    Fórmula para hallar el lado recto de una elipse
  • Los puntos del plano para los que se cumple que la suma de las distancias a dos puntos fijos es constante, definen el lugar geométrico conocido como:
    Elipse
  • Una hipérbola es el lugar geométrico de todos los puntos del plano cuya diferencia de distancias a dos puntos fijos, llamados focos, es constante.