3.04 Alkenes

Cards (34)

  • What is an alkene
    Unsaturated hydrocarbons with a C=C double bond
  • What is the general formula of an alkene?
    CnH2n
  • Why is there no rotation around the C=C double bond?
    Due to the pi orbital - electron density above and below the single bond, which holds carbon atoms in place
  • Are alkenes more or less reactive than alkanes?
    More reactive.
    • Due to high electron density of double bond and the fact that the pi bond is slightly easier to break
  • What intermolecular forces of attraction do alkenes have?
    Onlt VDW forces due to non-polar bonds
  • Are alkenes soluble in water?
    No.
    • Due to non-polar bonds, and the fact that hydrogen bonds are stronger than VDW forces
  • Name and describe the 3 kinds of isomers alkenes can have.
    • Chain isomers - branched chains
    • Position isomers - C=C on diff. carbon atom
    • Geometric E-Z isomers (Z = highest atomic number chains are on the same side of the double bond, E = when they are on the opposite sides)
  • What is an electrophile?
    Electron-deficient atoms/ions which accept a pair of electrons from the C=C bond
  • What is the most stable kind of carbocation intermediate?
    Alkyl groups have a positive inductive effect (pushes its electrons towards the positive carbocation), so the most stable carbocation is the one bonded to the most carbon atoms i.e a tertiary carbocation
  • Major products will be formed from which kinds of carbocations?
    Tertiary, or typically the most stable available
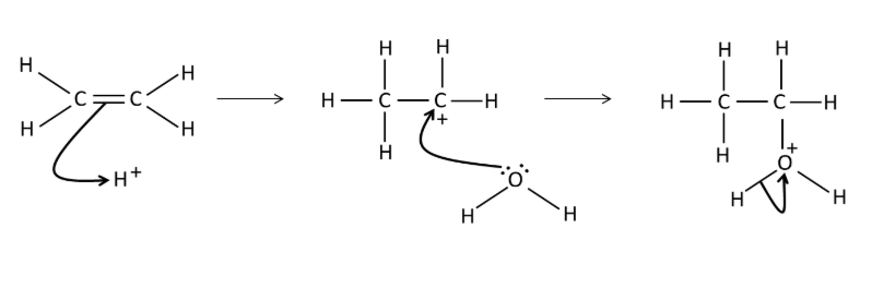
  • What conditions are needed for the electrophilic addition of H2O to an alkene?
    Acid catalyst, usually phosphoric acid
  • What are the products of the reaction of an alkene + water?
    An alcohol
  • Draw a mechanism for the addition of water to ethene.
    .
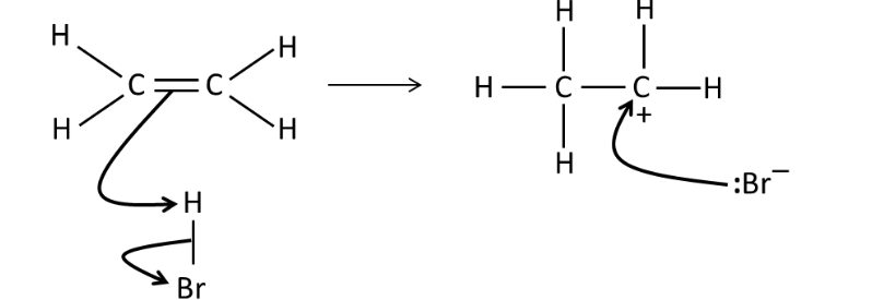
  • What conditions are needed for the electrophilic addition of a hydrogen halide to an alkene?
    Room temperature
  • Draw a mechanism for the reaction of HBr and ethene.
    .
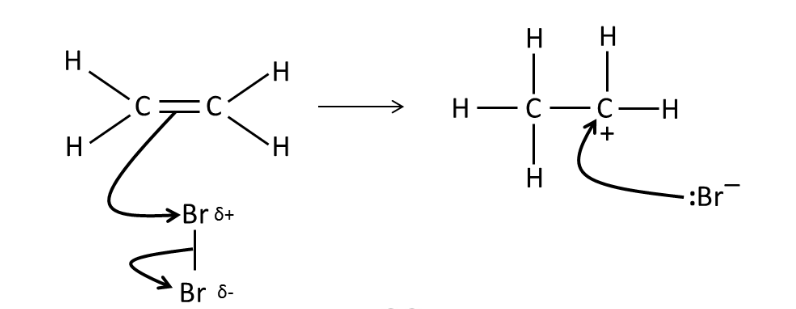
  • What conditions are needed for the electrophilic addition of a halogen molecule to an alkene?
    Room temperature and organic solvent
  • How does a molecule with a non-polar bond react as if it is an electrophile?
    C=C double bond with high electron density induces a temporary dipole in the halogen molecule therefore the delta-positive atom is attracted to the double-bond
  • Draw a mechanism for the reaction between bromine and ethene.
    .
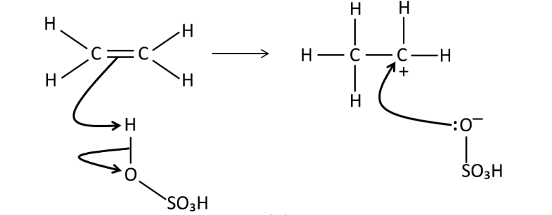
  • Draw a mechanism for the reaction of sulfuric acid with ethene.
    .
  • How would you turn the product from sulfuric acid+ethene into an alcohol, and how does this show that sulfuric acid catalyses the addition of water to an alkene?
    • Add water
    • H2SO4 reforms, showing it catalyses the hydration of alkenes
  • What is an addition polymer?
    Many monomers bonded together via rearrangement of bonds without the loss of any atom/molecule
  • What are monomers? What form do they usually take?
    • Molecules which combine to form a polymer
    • Usually have a C=C bond which breaks to leave a repeating pattern
  • Draw how you would represent the polymerisation of ethene.
    .
  • Give 3 uses of poly(chloroethene)/PVC
    • Drainpipes
    • Vinyl
    • Aprons
  • Give two examples of plasticisers
    • Esters
    • Phthalates
  • What are plasticisers?
    Small molecules which get between polymer chains to force them apart, and allow them to slide over one another
  • How do the physical properties of PVC change due to plasticiser? What applications does this lead to?
    • PVC with plasticiser becomes flexible, used for aprons
    • Without plasticiser, PVC is rigid, used for drainpipes
  • Why do things containing mainly C-C and C-H bonds not decompose easily?

    Bonds are non-polar so are not attacked by enzymes
  • Why is a lack of biodegradability in compounds with C-C/C-H bonds a problem?
    Disposal is very problematic
  • What is mechanical recycling?
    Where plastics are separated into different types: washed, ground down, melted and remoulded
  • What is mechanical recycling used for?
    Soft drink bottles into fleeces
  • What is feedstock recycling?
    Plastics heated to a temperature which break polymer bonds, leaving original monomers that can be made into new plastics
  • What is feedstock recycling used for?
    Making totally new plastics
  • What is a problem with recycling?
    Each time thermosoftening plastics are melted and remoulded, their properties degrade, so they can only be remoulded a limited number of times