Chapter 27

Cards (71)

  • what are amines?

    organic derivatives of ammonia, NH3, in which one or more hydrogen is replaced by a carbon chain or ring
  • what is an aliphatic amine?
    - the nitrogen atom is attached to at least one straight or branched carbon chain
    - methylamine is the simplest
  • what is an aromatic amine?
    - nitrogen atom is attached to an aromatic ring
    - phenylamine is the simplest
  • how do you classify amines?
    - primary amines, the N will be attached to two hydrogens and one R group
    - secondary amines, the N will be attached to one hydrogen and two R groups
    - tertiary amines, the N will be attached to no hydrogens an three R groups
  • how do you name amines?
    - primary amines, just add -amine to the name of the alkyl group

    -primary amines but the amine group is on any other carbon but carbon-1 then prefix amino and number is used e.g. 2-aminobutane

    - secondary or tertiary amines containing the same alkyl group, prefixes such as di- or tri- are attached to the nitrogen atom. E.g. (CH3)2 NH is dimethylamine

    - when two or more different groups are attached to a nitrogen atom, the compound is names as N-substituted derivative e.g. CH3NHCH2CH2CH3 is known as N-methylpropylamine
  • describe the reactions of amines?
    AMINES AS BASES:
    - amines behave as bases because the lone pair on the N can accept a proton
    - when an amine accepts a proton, dative covalent bond is formed between lone pair of electrons and proton
  • how are salts formed from amines?
    - amines are bases and they neutralise acids to make salts
    - e.g. propylamine reacts with HCl to form the salt propylammonium chloride
    - CH3CH2CH2NH2 + HCl -> CH3CH2CH2NH3+Cl-
  • how are primary amines formed?
    - ammonia has a lone pair of electrons on the nitrogen atom, which allows it to act as a nucleophile in a substitution reaction with a haloalkane, this produces an ammonium salt, then an aqueous alkali is added to generate the amine from the salt

    - e.g. salt formation: CH3CH2CH2Cl + NH3 -> CH3CH2CH2NH3+Cl-
    amine formation: CH3CH2CH2NH3+Cl- + NaOH -> CH3CH2CH2NH2 + NaCl + H2O
  • what are the conditions needed to make a primary amine?
    - ethanol is used as a solvent (prevents substitution of haloalkanes with water to form alcohols)
    - excess ammonia is used, reduces further substitutions into secondary or tertiary amines
  • why is the formation of primary amines unsuitable?
    - the product still contains a lone of electrons on the nitrogen atom that can react further with a haloalkane to form a secondary amine
  • how can a secondary amine be formed?
    - salt formation (ammonium salt)
    - reacting product (ammonium salt) with NaOH
  • how can a tertiary amine formed?
    - further reaction of secondary amines
  • how are aromatic amines formed?
    - phenyl amines are made by the reduction of nitrobenzene
    - nitrobenzene is heated under reflux with tin and HCl to form phenylammonium chloride (ammonium salt)
    - then it's reacted with excess NaOH to produce phenylamine (tin and HCl act as a reducing agent)
  • what does an amino acid look like?
    - hydrogen
    - amino
    - carboxyl
    - r group
  • how many naturally occurring amino acids are there?
    20
  • what is general formula of amino acids?
    RCH(NH2)COOH
  • why do amino acids have similar reactions to both carboxylic acids and amines?
    because they have both an acidic COOH and a basic NH2 functional group
  • what are the reactions of the amine group in amino acids?
    - amine group is basic and reacts with acids to form salts
    - e.g. 2-aminopropanoic acid reacts with HCl to form an ammonium salt and Cl-
  • what are the reactions of the carboxylic acid group in amino acids
    with aqueous alkalis?
    - amino acid reacts with an aqueous alkali such as NaOH/KOH to form a salt and water
    - e.g. aminoethanoic acid reacts with NaOH to form a sodium salt
  • how are amino acids esterified?
    - amino acids are esterified by heating wit an alcohol in the presence of H2SO4
    - e.g. serine is reacted with ethanol and a small amount of H2SO4, producing an ester and water
  • what are amides?

    products of reactions of acyl chlorides with ammonia and amines
  • how do you classify amides?
    - primary, 1 C atom attached to N
    - secondary, 2 C atoms attached to N
    - tertiary, 3 C atoms attached to N
  • what is optical isomerism?
    - stereoisomers that are non-superimposable mirror images of each other
    - sometimes called enantiomers
  • where is optical isomerism found?
    in molecules that contain a chiral centre
  • what is a chiral centre?
    a carbon atom with four different atoms or groups attached to it
  • how is a chiral centre shown?
    with an asterisk
  • examples of chiral centres
  • what is condensation polymerisation?
    - where monomers with two functional groups join together, usually losing small molecules such as water or hydrogen chloride
    - in condensation reactions, two different functional groups are needed
  • how are polyesters formed?
    - monomers are joined together by ester linkages in a long chain to form a polymer
    - need a carboxylic acid group and an alcohol (hydroxyl group) to form an ester linkage
  • show the condensation polymerisation of glycolic acid
  • what are polyamides?

    - condensation polymers formed when monomers are joined together by amide linkages in a long chain to form the polymer
    - it can be made from one monomer containing both a carboxylic acid and an amine group or from two monomers one contain 2 carboxylic acids and the other containing two amine group
  • what does an amide linkage look like?
  • how can polyesters and polyamides be hydrolysed?
    - using hot aqueous alkali such as sodium hydroxide
    - using hot aqueous acid such as hydrochloric acid
    (acid and base hydrolysis)
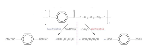
  • show the acid and base hydrolysis of PTT (polyester)
  • show the acid and base hydrolysis of Nomex (polyamide)
  • What are amines?
    Organic compounds, derived from ammonia, NH₃, in which one or more hydrogen atoms in ammonia have been replaced by a carbon ring or chain.
  • What is an aliphatic amine?
    The nitrogen atom is attached to at least one straight or branched carbon chain.
  • What is an aromatic amine?
    The nitrogen atom is attached to an aromatic ring.

    Phenylamine, C₆H₅NH₂, is the simplest aromatic amine, with a phenyl group attached to the nitrogen atom.
  • How do you name a primary amine?
    Add the suffix -amine to the name of the alkyl chain if the -NH₂ group is on the end of the chain.
  • How do you name a secondary or tertiary amine when th attached groups are the same?
    The prefixes di- or tri- are used to indicate the number of alkyl groups attached to the nitrogen atom.