topic p5- forces

Cards (30)

  • vectors
    • forces are a vector quantity
    • this means they have a magnitude and direction
  • examples of vectors include
    • displacement
    • velocity
    • acceleration
  • scalars
    • some physical quantities are scalar
    • this means they only have a magnitude
  • examples of scalars include
    • distance
    • speed
    • time
  • forces can be
    contact of non-contact
  • contact forces
    • friction
    • air-resistance
    • normal contact force
  • non-contact forces
    • magnetic
    • gravitational
    • electrostatic
  • weight
  • w = m g
    weight (N) = mass (kg) x gravity (N/kg)
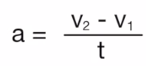
  • acceleration
  • acceleration (m/s^2) =
    final velocity (m/s) - initial velocity (m/s) / time (seconds)
  • work done
  • w = f s
    work done (Nm) = force (N) x displacement (m)
  • momentum
  • p = m v
    momentum (kg m/s) = mass (kg) x velocity (m/s)
  • resultant forces
    free body diagrams are used to show all forces acting on an object
  • resultant force calculation
    • the forces going up and down are equal (500 N each), meaning the car is not moving vertically
    • the car has a driving force of 1000 N and friction force of 100 N
    • by subtraction, the car has a 900 N resultant force going forwards (to the right)
  • elasticity- force vs extension
    • force is proportional to extension up to a certain point
    • this point is known as the limit of proportionality
    • before this point, the object being deformed is elastic, meaning it will return to its original shape
    • after this point, the object being deformed becomes inelastic or plastic
    • this means it will no longer return to its original shape
  • elasticity
    A)
  • force = spring constant x extension
    f = k . x
    (N) = (N/m) (m)
  • be careful when explaining different sections of these graphs
  • distance- time graphs
    1. constant speed
    2. stopped/ at rest
    3. accelerating
    4. decelerating
    • the gradient of a distance time graph is the speed at the respective time
  • velocity-time graphs
    1. constant acceleration
    2. constant speed
    3. increasing acceleration
    4. decreasing acceleration
    • the area under a velocity time graph is the distance (travelled)
    • the gradient of a velocity time graph is the acceleration at the respective time
  • how many newtons laws are there
    3
  • newtons first law
    an object will stay in motion unless acted upon by an unbalanced external force
  • newtons first law
    • if a ball is at rest, it will remain at rest unless pushed
    • if a car is moving, it will continue unless the brakes are applied or friction slows it down
  • newtons second law
    the law of inertia:
    force = mass x acceleration
  • newtons second law
    • force is proportional to acceleration
    • if an object has 10kg of mass, and acceleration at 10 m/s^2, then its force is 100N
  • newtons third law
    for every force, there is an equal and opposite force
  • newtons third law
    • a normal contact force is typically labelled as this 'opposite' force
    • if this force didn't exist, objects would go straight through each other