Save
...
3.3.13 amino acids, proteins and DNA
PMT notes
3.3.13.2 proteins
Save
Share
Learn
Content
Leaderboard
Share
Learn
Created by
Ruby Squires
Visit profile
Cards (9)
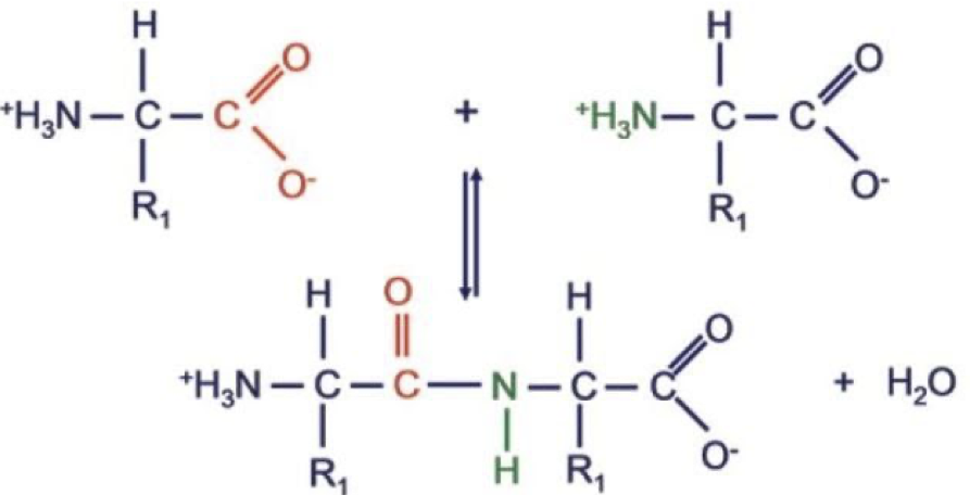
what are proteins?
sequences of
amino acids
joined together by
peptide links
how can this reaction be reversed?
by boiling
the protein in
6.0 moldm-3 HCl
for 25 hours in a hydrolysis
how is the hydrolysis carried out?
by
enzymes
- not so
harsh
conditions are required
structure of proteins
complex structures which are held together with H-bonds,
VDWs
and
sulfur-sulfur
bonds
primary
structure
single
polypeptide
chain of
amino
acids
secondary structure
an
a-helix
or B-pleated sheet held with
hydrogen
bonds
tertiary
structure
chains folded into a 3D
coil
with
hydrogen
and disulphide bonding
disulphide
bonding
sulfur-sulfur
bonds that hold together tertiary structures are known as a
disulphide bridge
what does the disulphide bonding do?
keep the protein
structure
stable by losing
2 hydrogen
atoms