Evaluation of Functions

Cards (20)

  • f(x) represents the value of the function at x
  • Types of Function:
    Constant Function
    Identity Function
    Polynomial Function
    Linear Function
    Quadratic Function
    Cubic Function
    Power Function
    Rational Function
    Exponential Function
    Logarithmic Function
    Absolute Value Function
    Radical Function
    Greatest Integer Function
    Least Integer Function
  • The Greatest Integer Function is also known as the
    Floor Function.
  • The Least Integer Function is also known as the
    Ceiling Function.
  • Round UP or DOWN:
    2
    1
    4
    8
  • Round UP or DOWN:
    9
    7
    -11
    3
  • Evaluate the Function:
    1
  • Evaluate the Function:
    2
  • Round UP or DOWN
    3
    2
    5
    8
  • Round UP OR DOWN:
    10
    3
    -5
    4
  • Evaluate this function:
    8
  • Evaluate the Function:
    ANSWER: 8
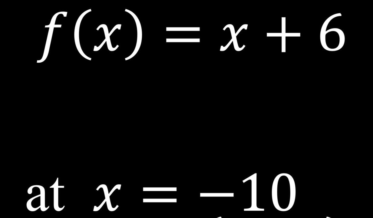
  • Evaluate the Function:
    ANSWER: f(-10)=-4
  • Evaluate the Function:
    ANSWER: g(7) = 19
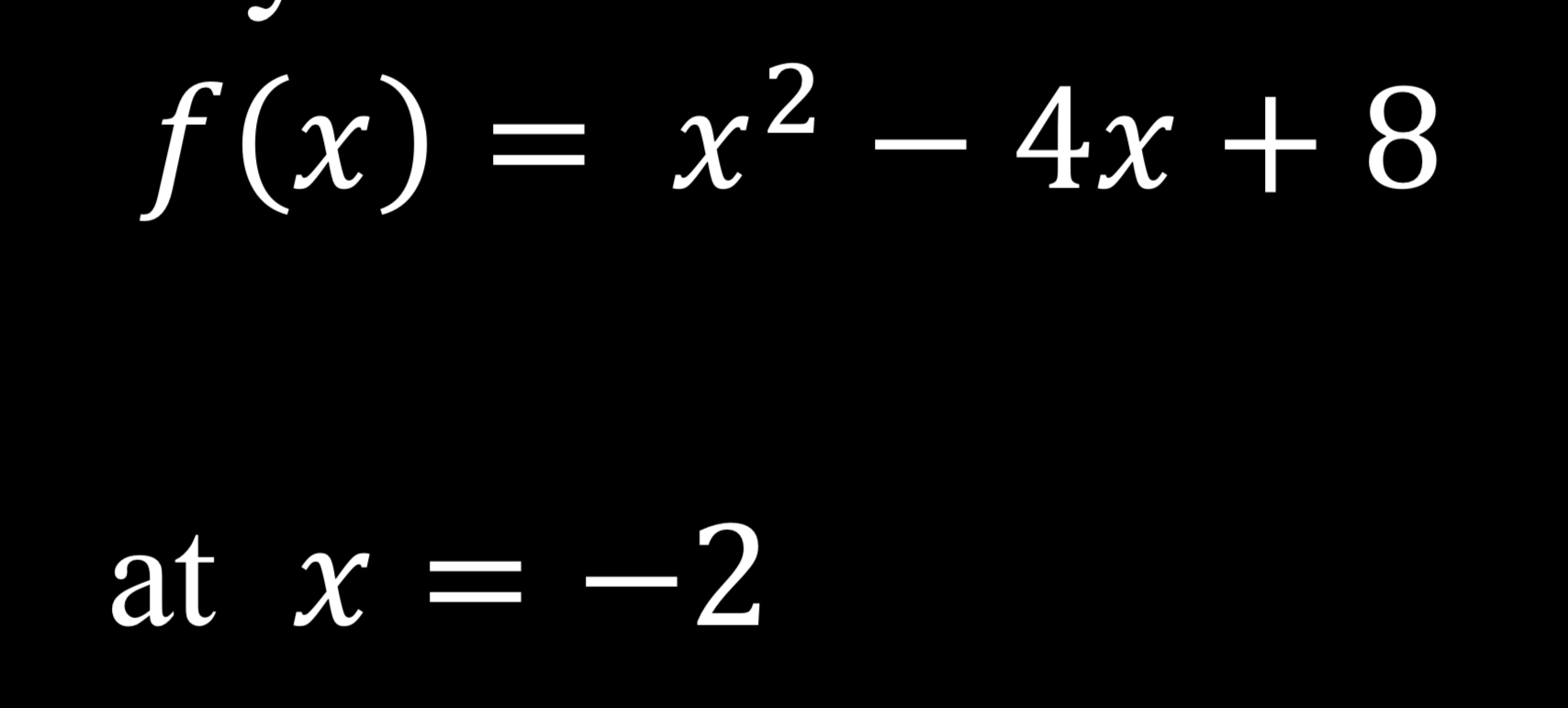
  • Evaluate the Function:
    ANSWER: f(-2) = 20
  • Evaluate the Function:
    ANSWER: f(3) = 6
  • Evaluate the Function:
    ANSWER: h(-1) = 3
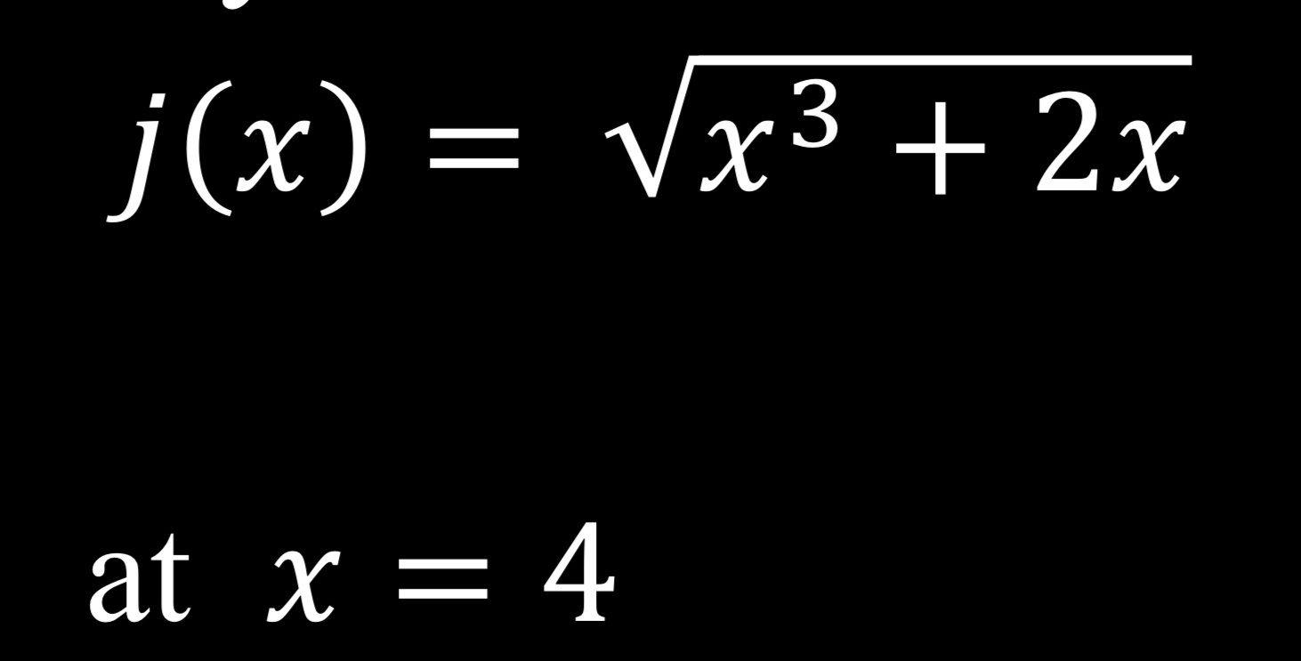
  • Evaluate the Function:
    ANSWER: j(4) = 6/2
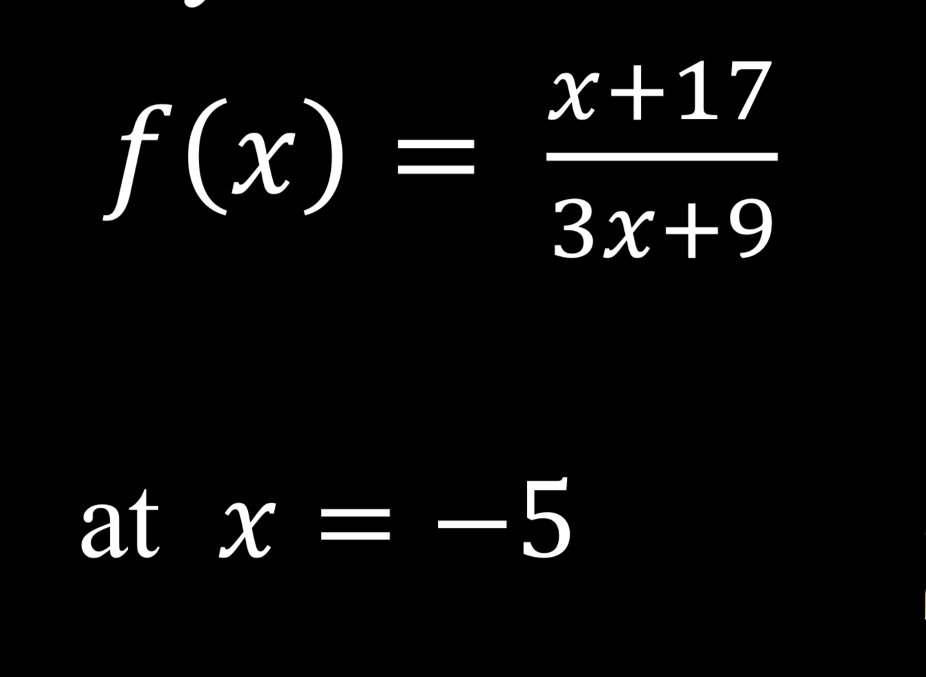
  • Evaluate the Function:
    ANSWER: f(-5) = -2
  • Evaluate the Function:
    ANSWER: f(-4.15) = -3