KA 3: Photosynthesis

Cards (24)

  • What are the two stages of photosynthesis?
    Light reactions and carbon fixation
  • What occurs during the light reactions of photosynthesis?
    • Light energy is trapped by chlorophyll in chloroplasts
    • Converted into chemical energy to generate ATP
    • Water is split to produce hydrogen and oxygen
    • Oxygen diffuses from the cell
  • What is the role of chlorophyll in photosynthesis?
    Chlorophyll traps light energy from the sun
  • What is produced during the light reactions of photosynthesis?
    ATP, hydrogen, and oxygen
  • What is the purpose of carbon fixation in photosynthesis?

    To produce sugar using hydrogen, ATP, and carbon dioxide
  • What can the chemical energy in sugar be used for?
    • Available for respiration
    • Converted into other substances:
    • Starch (storage)
    • Cellulose (structural)
  • What are the limiting factors that affect photosynthesis?
    Carbon dioxide concentration, light intensity, and temperature
  • How do limiting factors impact photosynthesis and plant growth?

    • Limiting factors can restrict the rate of photosynthesis
    • Affects overall plant growth and health
    • Analysis of limiting factors graphs can illustrate these impacts
  • What process allows green plants to produce their own food?
    Photosynthesis
  • How do green plants convert light energy during photosynthesis?
    They change it into chemical energy in the form of sugar, starch, and other molecules
  • What is the procedure to demonstrate that green plants make starch?
    1. Boil the leaf in water
    2. Decolourise the leaf in boiling alcohol
    3. Stain the leaf for starch with iodine solution
    4. If the leaf turns blue/black, starch is present
  • What happens to a plant when it is placed in the dark for 48 hours?
    It destarches, breaking down starch into sugar for respiration
  • What are the reactants and products of photosynthesis?
    Carbon dioxide and water are combined to produce sugar and oxygen
  • What is the role of chlorophyll in photosynthesis?

    It absorbs light energy and is essential for the process
  • Where is chlorophyll found in plant cells?
    Inside chloroplasts
  • What is the simple word equation for photosynthesis?
    Light energy + carbon dioxide + water → glucose + oxygen
  • What are the two stages of photosynthesis?
    1. Light reaction
    2. Carbon fixation
  • What occurs during the light reaction of photosynthesis?
    Light energy is trapped by chlorophyll and converted into chemical energy in the form of ATP
  • What happens to water during the light reaction?
    It is split to produce hydrogen and oxygen
  • What is carbon fixation in photosynthesis?

    It involves enzyme-controlled reactions using hydrogen and ATP with carbon dioxide to produce sugar
  • What can the chemical energy in sugar be converted into?
    It can be converted into starch for storage or cellulose for the structural part of the plant cell wall
  • What factors can control the rate of photosynthesis?
    The intensity of light, carbon dioxide, and temperature
  • What are limiting factors in photosynthesis?
    Factors that can control the rate of photosynthesis
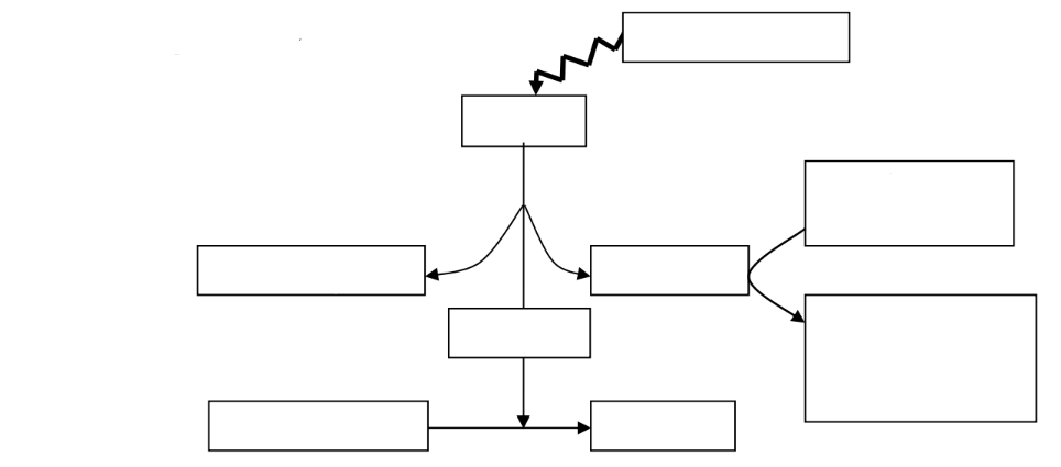
  • Label this diagram.
    Light reactions
    A) Hydrogen acceptor
    B) hydrogen acceptor
    C) with hydrogen
    D) hydrogen
    E) Energy
    F) ATP
    G) ADP + Pi
    H) H2O
    I) Light energy
    J) oxygen