1.10 Cyclic Forms of Monosaccharides

Cards (9)

  • Monosaccharides in nature have cyclic forms because they can form internal hemiacetals that are stable.
  • Cyclic Hemiacetal Forms of D-Glucose
  • 2 forms of D-Glucose:
    • α-form
    • β-form
  • D-glucose form
    • the –OH of C1 and CH2OH of C5 are on opposite sides
    A) a-form
  • D-glucose form
    • the –OH of C1 and CH2OH of C5 are on the same side
    A) B-form
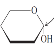
  • Anomeric carbon atom
    • the hemiacetal carbon atom present in a cyclic monosaccharide structure. It is the carbon atom that is bonded to an -OH group and to the oxygen atom in the heterocyclic ring.
  • Anomers
    • cyclic monosaccharides that differ only in the positions of the substituents on the anomeric (hemiacetal) carbon atom. 
  • Cyclic monosaccharide containing a six-atom ring 
    A) Pyranose
    • Cyclic monosaccharide containing a five-atom ring 
    A) Furanose