Terms and Definitions

Cards (22)

  • Quadratic Equation
    • it is a second-degree polynomial equation that can be written in the standard form ax2+ax^2 +bx+bx+c=c=00
    • where a, b, and c are real numbers and a≠0
  • Solution
    • a number xx is a solution of a quadratic equation if it satisfies the equation ax2+ax^2+bx+bx+c=c=00
    • This is also called a root of the quadratic equation.
  • Perfect Square
    It is a number that is obtained by multiplying an integer by itself.
  • Factors
    two or more expressions that give the given expression when multiplied
  • Perfect Square Trinomial
    • A polynomial with three terms, where the first and last terms are perfect squares while the middle term is positive or negative twice the product of the square roots of the first and last terms
    • a2+a ^2 +2ab+2ab+b2b ^2
  • Zero Product Property
    If ab=ab=00, then either a=a=00 or b=b=00
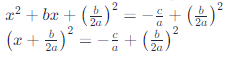
  • Completing the Square
    • It is a method for solving quadratic equations by changing an incomplete quadratic trinomial into a perfect square trinomial.
    • Given the standard form of quadratic equation ax2+ax^2+bx+bx+c=c=00, the constant c is isolated to the other side of the equation and the coefficient a is reduced to 1.
  • The completed square is given by the expression below:
  • Quadratic Formula
    This is the equation derived from the method of completing the square, which can be used for solving any quadratic equation.
  • Q. F.
  • Discriminant
    This is used to determine the nature of the roots of a quadratic equation. It is given by the formula d=d=b24acb ^2 −4ac
  • Nature of roots
    The discriminant can determine the nature of roots of a quadratic equation. It is determined as follows:
    • If d>0, the equation has two distinct real roots.
    • If d=0, the equation has one real root.
    • If d<0, the equation has no real roots. It has imaginary roots.
  • Higher Order Polynomial Equations
    These are equations of higher degree, especially those whose degree is greater than that of quadratic equation.
  • <
    is less than (traditional), is smaller than, is below, does not reach
  • is less than or equal to (traditional), is at most, is no more than, does not exceed, at a maximum
  • is greater than or equal to (traditional), is at least, is no less than, at a minimum, exceeds
  • >
    is greater than (traditional), goes beyond, is bigger than, is above
  • Critical Numbers
    Critical numbers are the solutions of the corresponding quadratic equation of the quadratic inequality.
  • Test Intervals
    Test intervals are the intervals into which the critical numbers divide the real number line.
  • Test Numbers
    Test numbers are any number taken from the test intervals and are substituted to the quadratic inequality to determine if the interval is a solution or not.
  • Quadratic Inequality
    • This is an inequality in one variable with one unknown (usually x) of degree 2.
    • The symbols <, , >, and are used to denote a quadratic inequality.
  • Standard Form of a Quadratic Inequality
    • The standard form of quadratic inequality can be written in the following forms:
    • ax2+bx+c<<0
    • ax2+bx+c>>0
    • ax2+bx+c≤≤0
    • ax2+bx+c≥0
    • where a, b , c are real numbers and a ≠ 0