Save
A-Level Chemistry AQA
Organic
Aldehydes and Ketones
Save
Share
Learn
Content
Leaderboard
Share
Learn
Created by
Ceris
Visit profile
Cards (45)
Aldehyde
(
formula
+
suffix
)
Suffix = -al e.g.
propanal
View source
Ketone
(
formula
+
suffix
)
Suffix = -one e.g.
propan-2-one
View source
What can
aldehydes
be oxidised to?
carboxylic acids
View source
What can
ketones
be
oxidised
to?
nothing, they cannot be oxidised
View source
How do you make
Tollen's reagent
?
Silver nitrate
+ few drops of
NaOH
+ few drops of
ammonia
until brown precipitate dissolves
View source
What is the formula of
Tollen's reagent
Tollen's reagent = [
Ag(NH3)2
]
View source
ve+
in
Tollen's reagent
?
ve-
in Tollen's reagent?
ve+ =
silver mirror
ve- = no silver mirror
View source
Aldehyde
+
Tollen's reagent
= ?
Why?
silver mirror
Silver complex is reduced to silver
Aldehyde is oxidised to
carboxylic acid
View source
Ketone
+
Tollen's reagent
= ?
no reaction
View source
What are
aldehydes
reduced
to?
primary alcohols
View source
What are
ketones
reduced to?
secondary alcohols
View source
What is the
reducing agent
in both these reactions:
Aldehyde --> Primary Alcohol
Ketone --> Secondary Alcohol
NaBH4
sodium tetrahydridoborate
View source
What is the name of the mechanism for this reaction?
Nucleophillic
addition
View source
Outline this mechanism (
aldehyde
-->
primary alcohol
)
View source
Outline this
mechanism
(
ketone
-->
secondary alcohol
)
View source
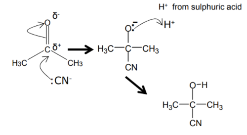
Aldehyde/Ketone
+
KCN
(mechanism + product)
Note: KCN has to be acidified
hydroxynitrile
View source
Overall equation for
aldehyde
+ acidified
KCN
CH3CH2CH2COH
+ KCN + H+ --->
CH3CH2CHC(CN)OH
View source
Other than safety reasons, why is
KCN
used over
HCN
(found this in an exam question and had no idea)
KCN
dissociates
more than HCN
View source
outline
Fehling's test
Fehling = oxidising agent
Will oxidise
aldehydes
but not
ketones
Fehlings contain
Cu2+
ve+
=
brick red
precipitate
ve-
= remains blue
View source
Issue with
KCN
Irritant (dangerous is inhaled/ingested)
KCN +
moisture
can form very toxic gas
HCN
View source
Enantiomer
formation in this reaction
- If we use an unsymmetrical
ketone
or an
aldehyde
(apart from methanol as it is symmetrical), enantiomers can be formed
View source
Confirm
ethanal
solution contains no
ethanoic acid
(
aldehyde
contains no
carboxylic acid
with steps)
- Warm solution
- Add
Fehling's
- Result: Brick Red solution
- Confirm absence of acid by adding
NaHCO3
(sodium hydrogen carbonate)
- Result: No effervescence
View source
Describe experimental methods and conditions required to ensure acid is obtained in a high yield (
propanoic acid
from
propan-1-ol
)
- Excess
potassium dichromate
- Heat under
reflux
(Draw apparatus)
View source
Describe the different experimental conditions necessary to produce
propanol
in high yield rather than
propanoic acid
Immediate distillation
View source
What functional group characterizes aldehydes?
CHO
View source
How are aldehydes produced?
From
oxidation
and distillation of
1° alcohols
View source
What do aldehydes oxidize to in the presence of acidified potassium dichromate?
Carboxylic acids
View source
Which reagents are used to test for aldehydes?
Tollen’s
reagent and
Fehling’s
solution
View source
What is the functional group that characterizes ketones?
C=O
View source
How are ketones produced?
From
oxidation
of
2° alcohols
View source
What is the result of further oxidation of ketones?
No
further oxidation occurs
View source
What is the visible change of ketones with Tollen’s reagent and Fehling’s solution?
No visible change occurs
View source
What can reverse the oxidation reactions of aldehydes and ketones?
Reduction reactions
View source
What reducing agent is commonly used in the reduction of aldehydes and ketones?
NaBH<sub>4</sub>
View source
What type of reaction is the reduction of aldehydes and ketones?
Nucleophilic addition
View source
What nucleophile does NaBH<sub>4</sub> provide in reduction reactions?
H<sup>-</sup>
nucleophile
View source
What is required alongside the H<sup>-</sup> nucleophile for the reaction to occur?
H<sup>+</sup>
ion
View source
What is produced when nucleophilic addition occurs with the :CN<sup>-</sup> nucleophile?
Hydroxy-nitrile
View source
What does the reaction with the :CN<sup>-</sup> nucleophile do to the carbon chain?
Extends it by
one carbon atom
View source
What is often used as the reagent to provide the nucleophile in hydroxy-nitrile synthesis?
KCN
View source
See all 45 cards