Alcohols

Cards (14)

  • What is the functional group for an alcohol?
    -OH
  • General formula of an alcohol
     CnH2n+1OH
  • Shape of an alcohol
    • two lone pairs on oxygen
    • lone pairs repel more than bonding pairs
    • this makes the bond angle approx 105 rather than 109.5
  • Classification of alcohols

    • primary - 1 alkyl group attached to carbon with OH group on it
    • secondary- 2 alkyl groups attached to carbon with OH group on it
    • tertiary -3 alkyl groups attached to carbon with OH group on it
  • What are some of the physical properties of alcohols?
    • hydrogen bonding between the lone pair on the oxygen and δ+ H atoms
    • means that they have relatively high melting and boiling points compared to alkanes of a similar molecular mass
    • soluble in water as the OH group of an alcohol can bond to water molecules with hydrogen bonding
  • What are the two ways to produce ethanol?
    1. Ethanol produced from crude oil
    • ethene is produced when crude oil is cracked
    • ethene is hydrated, which adds water across the double bond and forms ethanol
    • phosphoric acid used as a catalyst
  • What are the two ways to produce ethanol?
    2. Fermentation
    • breakdown of sugar in a process called anaerobic respiration
    • the rate of this reaction is affected by temperature- it is slow at low temperatures but the enzymes are denatured if the temperature gets too high
    • air is kept out of the fermentation vessels to prevent oxidation of ethanol to ethanoic acid
    • an aqueous solution is obtained and so it must then be distilled to get the water off and produce a pure sample of ethanol
    • yeast is used as an enzyme
  • How can ethene be obtained?
    • obtained from cracking of crude oil
    • also can be obtained from dehydration ethanol made from sugar
  • Reactions of alcohols
    • undergo combustion reactions as long as there is enough oxygen available
    • ethanol is often used as a fuel
  • Elimination of alcohols
    • cases where a small molecule leaves the alcohol, always water in this case
    • known as dehydrations
    • aluminium oxide can be used as a catalyst, with temperatures of 600K
    • phosphoric acid an also be used as a dehydrating agent
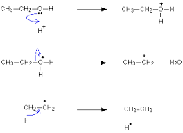
  • Mechanism of dehydration
    e.g.
  • Oxidation of alcohols
    • combustion is usually complete oxidation
    • primary alcohols ---> aldehydes--->carboxylic acids
    • secondary alcohols ---> ketones
    • tertiary alcohols cannot be further oxidised (this is because oxidation needs a C-C bond to break, not a C-H bond)
  • Experimental details of oxidation
    • acidified potassium dichromate as the reagent
    • turns orange to green when oxidation occurs
  • Alcohols + oxidation 

    • To go from ethanol to ethanal, potassium dichromate, and heated
    • To go from ethanol to ethanoic acid, conc sulfuric acid and more potassium dichromate needed