Save
...
Waves
Refraction
Snell's Law
Save
Share
Learn
Content
Leaderboard
Share
Learn
Created by
Harry Parker
Visit profile
Cards (21)
What does Snell's Law relate to?
Angle of incidence
and
angle of refraction
View source
What is the formula for Snell's Law?
n
1
sin
θ
1
=
n_1 \sin \theta_1 =
n
1
sin
θ
1
=
n
2
sin
θ
2
n_2 \sin \theta_2
n
2
sin
θ
2
View source
What does
n
1
n_1
n
1
represent in Snell's Law?
Refractive
index of
material 1
View source
What does
n
2
n_2
n
2
represent in Snell's Law?
Refractive
index of material 2
View source
What do
θ
1
\theta_1
θ
1
and
θ
2
\theta_2
θ
2
represent?
Angles of
incidence
and
refraction
View source
From where are angles
θ
1
\theta_1
θ
1
and
θ
2
\theta_2
θ
2
measured?
From the
normal
View source
What is the relationship between refractive index and critical angle?
Larger refractive index means
smaller
critical angle
View source
What happens when the angle of incidence reaches the critical angle?
Angle of refraction becomes
90°
View source
What occurs when the angle of incidence is less than the critical angle?
The ray is
refracted
and exits the material
View source
What occurs when the angle of incidence exceeds the critical angle?
The ray undergoes
total internal reflection
View source
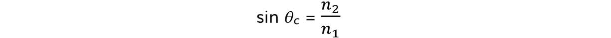
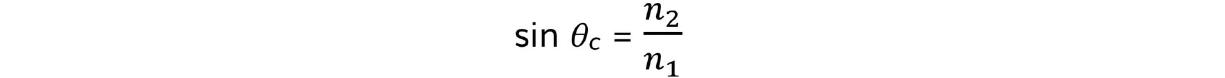
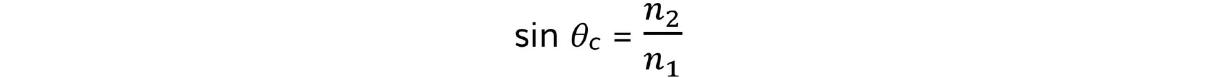
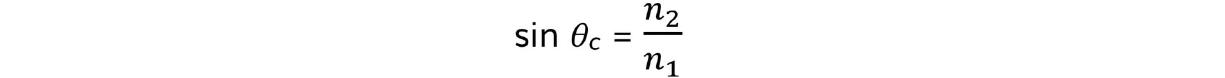
What is the critical angle equation?
sin
θ
c
=
\sin \theta_c =
sin
θ
c
=
n
2
n
1
\frac{n_2}{n_1}
n
1
n
2
View source
What does total internal reflection require regarding refractive indices?
Incident
refractive index must be
greater
View source
What is the relationship between angles of incidence and reflection during total internal reflection?
Angle of incidence equals
angle of reflection
View source
How does the refractive index of glass compare to air?
Refractive index of glass is
greater
than air
View source
If the angle of incidence is 39° and the angle of refraction is 25°, what is the critical angle for the glass-liquid boundary?
65°
View source
Given the refractive index of glass is 1.489, how do you calculate the refractive index of the liquid?
Use
Snell's Law
with known angles
View source
What is the significance of the angle of incidence being equal to the critical angle?
It marks the transition to
total internal reflection
View source
How does the path of a light ray change when it enters a less dense medium?
It
refracts
away from the
normal
View source
What are the conditions for total internal reflection to occur?
Angle of incidence >
critical angle
Refractive index
of incident medium > refractive index of second medium
View source
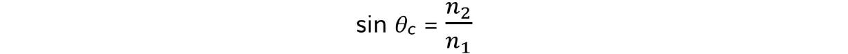
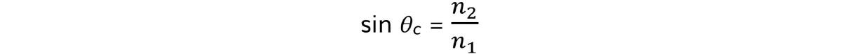
What are the steps to calculate the critical angle?
Identify
refractive indices
of both materials.
Use the
critical angle equation
:
sin
θ
c
=
\sin \theta_c =
sin
θ
c
=
n
2
n
1
\frac{n_2}{n_1}
n
1
n
2
.
Solve for
θ
c
\theta_c
θ
c
.
View source
What are the implications of Snell's Law in optics?
Predicts how light bends at interfaces
Essential for designing
lenses
and optical devices
Helps understand phenomena like
rainbows
and mirages
View source