Save
...
Nuclear Physics
Radioactive Decay
Half-Life
Save
Share
Learn
Content
Leaderboard
Share
Learn
Created by
Harry Parker
Visit profile
Cards (26)
What is half-life defined as?
The average time for
nuclei
to halve
View source
What happens to the activity of a sample after one half-life?
The activity of the sample halves
View source
What is the relationship between activity and undecayed nuclei?
Activity is
proportional
to undecayed nuclei
View source
What occurs to the activity after two half-lives?
Activity falls to a
quarter
of the initial value
View source
What is the equation for exponential decay?
N =
N<sub>0</sub>
e<sup>-λt</sup>
View source
What does N represent in the exponential decay equation?
The
number
of
nuclei
remaining
in a
sample
View source
What does N<sub>0</sub> represent in the exponential decay equation?
The
initial
number of
undecayed
nuclei
View source
What does λ represent in the exponential decay equation?
The
decay constant
View source
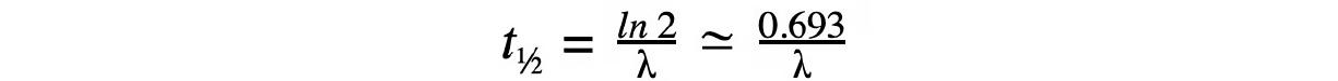
How is half-life related to the decay constant?
Half-life and decay constant are inversely
proportional
View source
If the half-life is shorter, what can be said about the decay constant?
The decay constant is larger
View source
What is the half-life of Strontium-90?
28.0
years
View source
How do you convert the half-life of Strontium-90 into seconds?
Multiply by
28
×
365
×
24
×
60
× 60
View source
What is the decay constant λ for Strontium-90?
λ = 7.87 ×
10<sup>-10</sup>
s<sup>-1</sup>
View source
How can the half-life of a radioactive substance be determined?
From
decay curves
and
log graphs
View source
What is the method to find half-life from decay curves?
Draw a line to where
activity
halves
View source
Why are log graphs useful for interpreting decay data?
They provide a
straight-line
plot
View source
What is the equation after taking natural logs of the exponential decay equation?
ln
N = ln(
N<sub>0</sub>
) - λt
View source
What does the gradient of the log graph represent?
The
decay constant λ
View source
How do you determine the decay constant from a graph?
By finding the
gradient
of the line
View source
How do you convert the half-life of technetium into seconds?
t = 6 ×
60
× 60
View source
How do you calculate the decay constant for technetium?
Using the
half-life equation
View source
How do you find the activity after 24 hours for technetium?
By drawing lines on the
graph
View source
What is the activity of technetium at t = 24 hours?
A = 0.5 ×
10<sup>7</sup>
Bq
View source
How do you calculate the number of technetium atoms remaining?
Using the
activity equation
A = λN
View source
What is the activity equation?
A
= λN
View source
How do you find the number of atoms remaining in the sample?
By rearranging the
activity equation
View source