Save
...
Module 6
Chapter 26
PMT flashcards carboxylic acids and esters
Save
Share
Learn
Content
Leaderboard
Share
Learn
Created by
sam hughes
Visit profile
Cards (40)
What is the functional group of a carboxylic acid?
-COOH (
C=O
and
C-OH
)
View source
How do you name carboxylic acids?
-oic acid
View source
Are carboxylic acids soluble in water? Why?
Yes, they form
hydrogen bonds
with water
View source
What are the intermolecular forces in carboxylic acids?
Hydrogen bonds
in solid state - very strong
View source
What are esters formed from?
Carboxylic acids
and
alcohols
View source
What is the general formula of esters?
RCOOR’ (
C=O
,
C-O-C
)
View source
Write an equation for the reaction of ethanoic acid with propan-1-ol.
CH3COOH
+ CH3CH2CH2OH → CH3COOCH2CH2CH3 + H2O
View source
How do you name esters?
Start with
alcohol
group, then
acid
part
View source
What characteristic physical properties do esters have?
Volatile
, pleasant
fruity
smells
View source
What are some uses of esters?
Flavourings
,
perfumes
, solvents, plasticisers
View source
How could you distinguish carboxylic acids from other -OH containing compounds?
Add
NaHCO3
; acids produce
sodium salt
View source
Write an equation for the reaction of ethanoic acid with NaOH.
CH3COOH
+ NaOH → H2O +
CH3COO-Na+
View source
Write an equation for the reaction of ethanoic acid with Na2CO3.
2CH3COOH + Na2CO3 → 2CH3COO-Na+ + H2O +
CO2
View source
Write an equation for the reaction of ethanoic acid with calcium oxide.
2CH3COOH +
CaO
→ (CH3COO)2Ca + H2O
View source
What catalyst is needed for the formation of esters?
Concentrated strong acid e.g.
H2SO4
View source
What catalyst is needed for the hydrolysis of esters?
Dilute strong acid e.g.
H2SO4
View source
What is an alternative method of hydrolysis?
Base
hydrolysis
View source
What are the advantages of base hydrolysis?
Reaction goes to completion due to
neutralisation
View source
What are carboxylic acid derivatives?
Molecules with the acyl group from acids
View source
Name two acid derivatives and their functional groups.
Acyl chlorides: RCOCl; Acid anhydrides: RCOOCR
View source
How do you form an acyl chloride?
React
carboxylic acids
with
SOCl2
View source
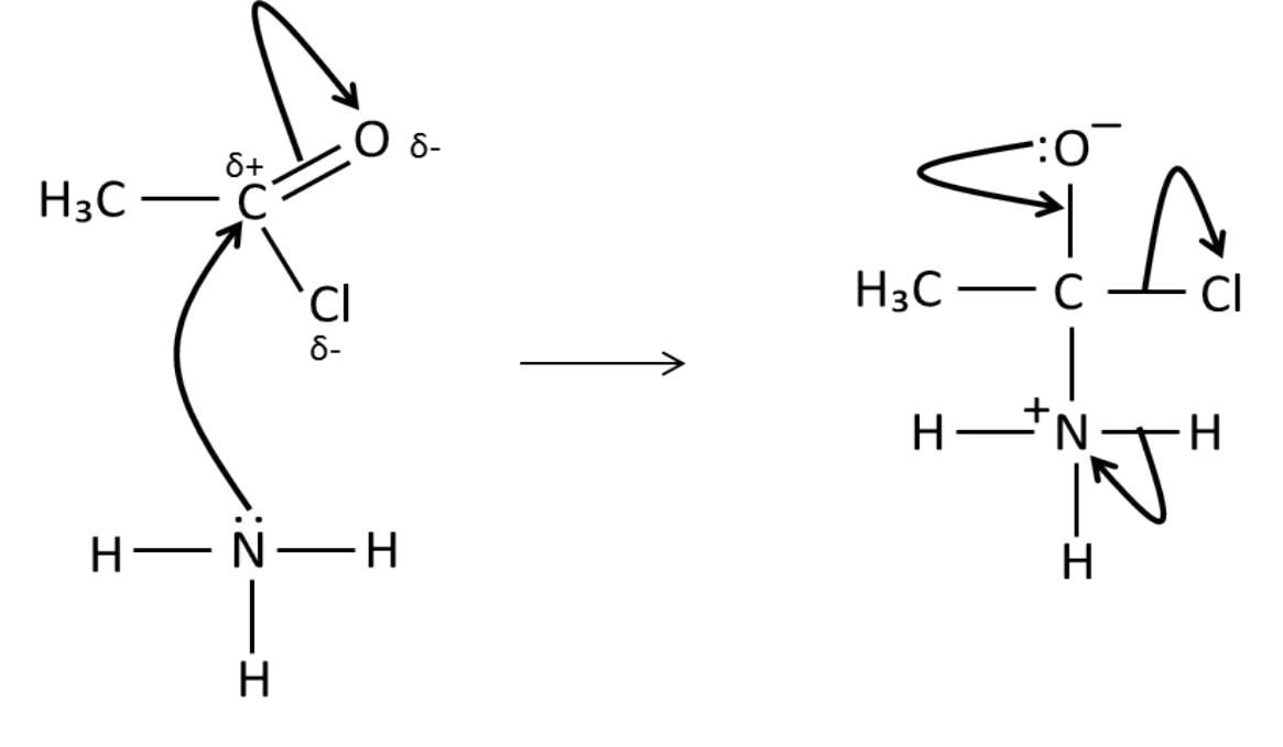
Draw the mechanism for the acylation of a nucleophile by an acid derivative.
Mechanism involves nucleophilic attack on acyl carbon, followed by loss of leaving group.
View source
What are oxylic acid derivatives?
Molecules with an
acyl group
from
carboxylic acids
View source
Name two acid derivatives.
Acyl chlorides
and
acid anhydrides
View source
What is the functional group of acyl chlorides?
RCOCl
View source
What is the functional group of acid anhydrides?
RCOOCR
or (RCO)2O
View source
What is the mechanism for the acylation of a nucleophile by an acid derivative?
Nucleophile attacks the
carbonyl
carbon
Tetrahedral intermediate
forms
Collapse of the intermediate
Leaving group
departs
View source
What product is formed when ammonia acts as a nucleophile in acylation reactions?
An
amide
View source
Write the equation for the reaction of ethanoyl chloride and ammonia.
CH3COCl
+ 2NH3 →
CH3CONH2
+ NH4Cl
View source
What is the mechanism for the reaction of ethanoyl chloride and ammonia?
Nucleophilic attack
by ammonia
Formation of
tetrahedral intermediate
Collapse of intermediate
Formation of amide and ammonium chloride
View source
What product is formed when a primary amine acts as a nucleophile in acylation reactions?
N-substituted
amide
View source
Write the equation for the reaction of ethanoyl chloride and methylamine.
CH3COCl
+
CH3NH2
→
CH3CONHCH3
+
CH3NH3Cl
View source
What is the mechanism for the reaction of ethanoyl chloride and methylamine?
Nucleophilic attack
by methylamine
Formation of
tetrahedral intermediate
Collapse of intermediate
Formation of
N-substituted amide
and methylammonium chloride
View source
What product is formed when an alcohol acts as a nucleophile in acylation reactions?
An
ester
View source
Write the equation for the reaction of ethanoyl chloride and ethanol.
CH3COCl
+ CH3CH2OH → CH3COOCH2CH3 + HCl
View source
What is the mechanism for the reaction of ethanoyl chloride and ethanol?
Nucleophilic attack
by ethanol
Formation of
tetrahedral intermediate
Collapse of intermediate
Formation of
ester
and
HCl
View source
What product is formed when water acts as a nucleophile in acylation reactions?
Carboxylic acid
View source
What is the name of the reaction when water is the nucleophile in acylation of acyl chlorides or acid anhydrides?
Hydrolysis
View source
Write the equation for the reaction of ethanoyl chloride and water.
CH3COCl
+ H2O →
CH3COOH
+ HCl
View source
What is the mechanism for the reaction of ethanoyl chloride and water?
Nucleophilic attack
by water
Formation of
tetrahedral intermediate
Collapse of intermediate
Formation of
carboxylic acid
and
HCl
View source