Single group pre-test post-test design

Cards (3)

  • Single group pre-test post-test design:
    • starts with people in the present, following them into the future - prospective
    • measure dependent variable and covariables before/in present to determine baseline
    • follow them in time, whilst conducting a experimental manipulation (the independent variable)
    • after the experimental manipulation, measure the dependent variable again to see the affect of the independent variable on it
  • Inferring causation - problems
    • Confounding - other/extraneous variables that may have caused a change in symptoms/dependent variables
    • Regression to the mean - you may have got an extreme measurement they first time you measured, so the second time you measured it was a more normal result
    • Natural recovery
    • Placebo/non-specific effects
    • Hawthorne Effect (Observer) - people changing their behaviours because they know theyre being observed
    • Rosenthal Effect (Experimenter expectancy) - researchers biasing the changes they want to see
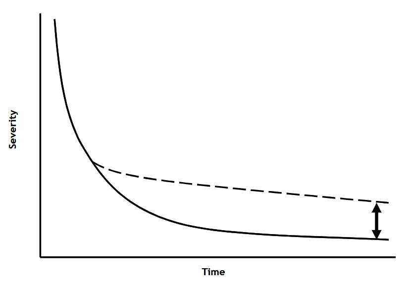
  • Confounding variables - Natural recovery:
    • symptoms naturally resolve over time, which can explain for the change in measured dependent variables
    • this would mean that the change in the dependent variable wasn't caused by the independent variable, which means it wasnt a causation