Save
...
Module 2
Nucleotides and Nucleic acids
DNA
Save
Share
Learn
Content
Leaderboard
Share
Learn
Created by
Jen Butcher
Visit profile
Cards (12)
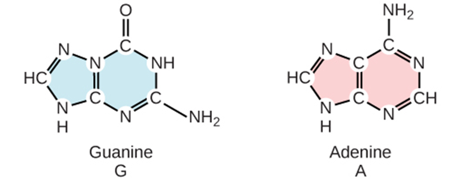
These are the
Purines.
They are
larger
and contain
double carbon ring
structures
(pure as gold =
purines
,
adenine
,
guanine
)
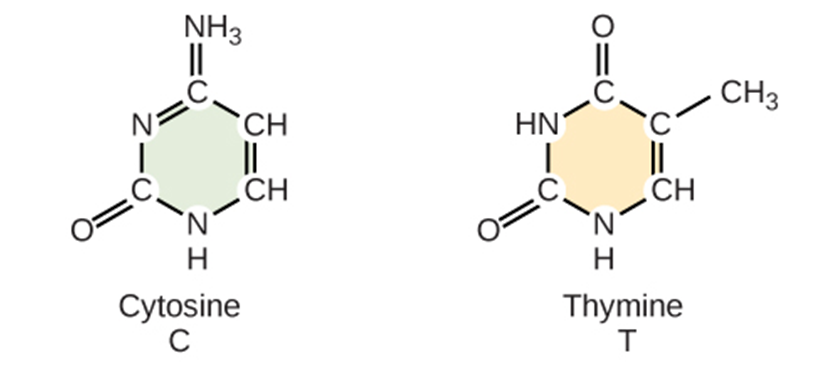
These are the
Pyrimidines.
These are
smaller
and contain single
carbon ring
structures.
Pyrimidines bond to Purines -
Adenine to
Thymine
Cytosine to
Guanine
There are
3
bonds between
C
and
G
There are
2
bonds between
A
and
T
The two strands of the double helix are held together by the
hydrogen
bonds between
base pairs.
The strands are
antiparallel
(one goes
5’
to
3’
and the other goes the other way)
DNA extraction -
grind the sample with a
mortar
and
pestle
mix the sample with
detergent
add
salt
filter
the mixture
add
protease
enzyme
add
ethanol
on top of the sample
DNA will form in
white strands
filtering
- removes any debris (big,
insoluble
bits of cell) from the mixture
detergent
- This breaks down the cell membrane and releases cell contents into solution
salt
- Breaks
hydrogen
bond between DNA and
water
molecules
ethanol
- This causes the DNA to precipitate (i.e. to come out of solution) as DNA is not soluble in cold alcohol
protease
- Breaks down proteins associated with DNA in the nuclei
grind sample
- Breaks down the
cell walls