Cards (26)

  • Probability is used to describe the phenomenon of chance or randomness of events to occur.
  • Types of Probability
    1. subjective probability
    2. objective probability
  • types of SUBJECTIVE PROBABILITY
    1. OPINION POLLS
    2. JUDGEMENT OF EXPERT
    3. DELPHI METHODS
  • Simple Event: Probability of getting a Head (H) when a coin is tossed; Probability of getting 1 when a die is thrown.
  • Basic Properties of Probabilities
    Property 1: The probability, P, of any event or state of nature occurring lies
    between greater than or equal to 0 or 0% and less than or equal to 1 or 100%.
    Property 2: The probability of an event will not be less than 0 because it is not
    possible (impossible) or can never occur.
    Property 3: The probability of an event will not be more than 1 because
    1 is certain that something will happen (sure event).
  • Tree diagram is a device consisting of line segments beginning a starting point and also from the outcome point.
  • Disjoint events(mutually exclusive events):
    Two events are mutually exclusive events if they cannot occur at the same time

  • If event A occurs affect the probability of event B occurring, the two events are dependent events.
  • Permutation is a counting technique which refers to the arrangement (or ordering) of a set of objects, from first to last, where the order in which the objects
    are selected does matter.
  • Combination is a selection of objects from a collection in any order as oppose to
    permutations which deal with the ordered arrangements of objects.
  • Probability does not deal with guarantees, but with the likelihood of
    an occurrence of an event.
  • If we understand how to calculate probabilities, we can make thoughtful
    decisions about random and unpredictable situations where multiple outcomes are possible.
  • If eventAoccurs does not affect the probability of event B occurring, the two events are independent events.
  • Compound Event: When two coins are tossed, probability of getting a Head (H) in the first toss and getting a Tail (T) in the second toss.
  • RULES OF PROBABILITY: General multiplication rule
    two events are dependent if the occurrence of one event does affect the likelihood that the other event will happen.
  • RULES OF PROBABILITY: Special Multiplication Rule
    two events are independent if the occurrence or nonoccurrence of one of the events does not affect the likelihood that the other event will occur.
  • Formula for independent events: P(A and B) = P(A) * P(B)
  • GENERAL MULTIPLATION RULE
    P(A and B) =P(A) * P(B | A)
  • GENERAL MULTIPLATION RULE
    another form of conditional probability
  • Combination Selection Rules: Each object can be selected only once; this implies that you are not allowed any repeat numbers.
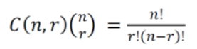
  • Combination formula
    A) C
    B) n!
    C) r!(n-r)!
  • Permutation: some items consist of look-alike/duplicate and rest are all different
  • In permutation, n different objects taken r at a time (where r is a subset of n), an event cannot repeat
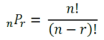
  • Permutation Formula
    A) P
    B) n!
    C) (n-r)!
  • SUBJECTIVE - Based on past experiences and judgment of the person that it would simply determine the possible occurrences of events
  • OBJECTIVE - Empirical or experimental probability. Using past data to determining the likeliness of the event to occur.