Taxonomy and classification

Cards (20)

  • All living organisms have evolved from...
    A universal ancestor
  • What is a species?
    A group of similar organisms which can reproduce to give fertile offspring
  • What is the name for a system for grouping organisms based on how recently they had a common ancestor?
    Phylogenetic classification
  • Linnaean classification is hierarchal, what does this mean?
    There must be no overlap between groups at the same level
    Each group must be smaller than the one above it
  • Within a hierarchal classification, each group is called a...
    Taxon
  • When scientists identify a species, they list its binomial. The binomial gives us the same of the...
    Genus followed by the name of the species
  • What are reliable indicators that two organisms share a recent common ancestor?
    Genome sequences
    Physical features such as skeletal structure
    Immune responses
    Courtship behaviour
  • Which taxon is the largest?
    Domain
  • List the taxa from largest to smallest
    Domain
    Kingdom
    Phylum
    Class
    Order
    Family
    Genus
    Species
  • Two reasons why courtship is essential for successful mating?
    Stimulates the release of gametes
    Indicates a readiness to mate
  • Explain how courtship behaviour promotes a species’ survival.
    Courtship behaviour encourages a bond between two organisms
    This may help them successfully raise their offspring
  • Courtship behaviour attracts...
    Members of the same species
    Members of the opposite sex
  • Define biodiversity
    Biodiversity is a measure of the variety of organisms living in a particular place
  • What does species richness tell us?
    The number of different species within a community
  • Which measure tells us the relationship between the number of species in a community and the number of individuals in each species?
    Index of diversity
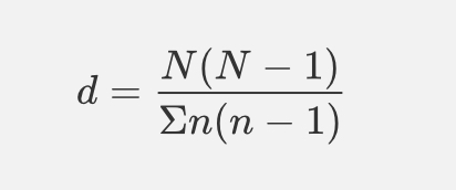
  • To calculate the index of diversity, we use the following formula.
    What does n represent?
    total number of organisms in each species
  • What typically happens in habitats where farming is taking place?
    Biodiversity decreases
    Index of diversity decreases
  • Farmers can practise conservation methods in order to increase biodiversity. Such as...
    Increase farmers’ costs and decrease the amount of food that farms can produce.
  • Describe the process for calculating species richness within an area.
    First, divide the area into squares
    Next, use a computer or table to generate random
    coordinates
    Then, count the number or frequency of each species in that quadrat
    After repeating this process several times, the mean number of species in each quadrat is multiplied by the total number of quadrats.
  • When investigating biodiversity, why is it important to randomly select a sample?
    Prevents bias from affecting results