Save
...
topic 5 radioactivity
nuclear radiation
nuclear radiation and decay
Save
Share
Learn
Content
Leaderboard
Share
Learn
Created by
Fiki akinsanya
Visit profile
Cards (17)
Stable nuclei
Nuclei that contain a certain amount of neutrons compared to
protons
View source
Unstable nuclei
Nuclei with too few or too many neutrons
View source
Radioactive decay
A random process in which an unstable
nucleus
will emit one or more types of
nuclear radiation
to become more stable
View source
Nuclear radiation
Radiation emitted from an
unstable
nucleus during
radioactive decay
View source
Types of nuclear radiation
Alpha particle
,
beta particle
,
gamma ray
, neutron
View source
Alpha particle
(α)
Consists of two
neutrons
and two
protons
and is identical to a
helium nucleus
View source
Beta-minus particle (β-)
A high speed
electronejected
from the nucleus
View source
Beta-plus particle
(β+)
A high speed positronejected from the nucleus
View source
Gamma ray
(
γ
)
Electromagnetic radiation from the nucleus
View source
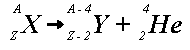
Change to the nucleus due to alpha decay
The nucleus loses two
protons
and two
neutrons
View source
Effect of alpha decay on atomic and mass numbers
The mass number decreases by
four
and the atomic number decreases by
two
View source
Change to the nucleus due to beta-minus decay
A
neutron
turns into a
proton
View source
Effect of beta-minus decay on atomic and mass numbers
The atomic number
increases
by one and the mass number
remains
the same
View source
Change to the nucleus due to beta-plus decay
A
proton
turns into a
neutron
View source
Effect of beta-plus decay on atomic and mass numbers
The
atomic number
decreases by one and the mass number remains the same
View source
Change to the
nucleus
due to
gamma decay
There is no change to the particles in the nucleus
View source
Effect of
gamma decay
on
atomic
and
mass numbers
There is no change to the atomic or mass numbers
View source