3.09 Carboxylic Acids and Derivatives

Cards (34)

  • What is the functional group of a carboxylic acid?
    • -COOH (C=O and C-OH)
  • How do you name carboxylic acids?
    -oic acid
  • What is the acidity of carboxylic acids?
    Weak, and slightly dissociate however they are strong enough to displace CO2 from carbonates.
  • Are carboxylic acids soluble in water? Why?
    The smaller carboxylic acids up to butanoic acid dissolve in water in all proportions, but after this, the solubility rapidly reduces.
    • They dissolve because they can bond to water molecules via hydrogen bonds.
  • What is delocalisation of charge, and how does it stabilise carboxylic acids?
    Carboxylic acid salts are stabilised by delocalisation, which makes the dissociation more likely.
    • Delocalised ion has equal C-O bond lengths. If delocalisation did not occur, C=O bond would be shorter than C-O bond.
    • Pi charge cloud has delocalised and spread out. The delocalisation makes the ion more stable and therefore more likely to form
  • How does the strength of carboxylic acid change according to increasing carbon chain length?
    Pushes electron density onto COO- ion (negative inductive effect), making it more negative and less stable. This makes the acid less strong.
  • What is the effect of adding chlorine atoms on carboxylic acid strength?
    Electronegative chlorine atoms withdraw electron density from the COO- ion, making it less negative and more stable. This makes the acid more strong.
  • What is the equation for ethanoic acid and sodium?
    2CH3COOH + 2Na2CH3COONa + H2
  • What is the equation for ethanoic acid and sodium hydroxide?
    CH3COOH + NaOH → CH3COONa + H2O
  • What is the equation for ethanoic acid and sodium carbonate?
    2CH3COOH + Na2CO3 → 2CH3COONa + H2O + CO2
  • Can carboxylic acids be oxidised?
    No, however methanoic acid is an exception as its structure has effectively got an aldehyde group.
    • Forms carbonic acid.
  • What is the equation for the formation of an ester?
    carboxylic acid + alcohol ⇌ ester + water
    • use of acid catalyst - typically H2SO4
    • reaction is slow due to it being reversible therefore requires heating under reflux for several hours or days, therefore low yields are achieved.
  • How do you name an ester?
    • -anoate = comes from carboxylic acid
    • -yl = comes from alcohol
  • What are the uses of esters?
    • Sweet smelling compounds used in perfumes and flavourings.
    • Solvents for polar organic substances - ethyl ethanoate is used as a solvent in glues and printing inks
    • Plasticisers for polymers
  • Why can esters be used in perfumes?
    They are non toxic, soluble in solvents such as ethanol, they are volatile (turns into a gas easily), and doesn't react in water
  • What are the intermolecular forces in esters?
    They are polar, however they do not form hydrogen bonds like carboxylic acids due to hydrogen not being bonded to a highly electronegative atom i.e. oxygen.
    • Therefore, they have permanent dipole interactions. This results in a lower b.p than carboxylic acids, and are also insoluble in water.
  • How can esters be hydrolysed?
    By either heating with acid under reflux + heat or with sodium hydroxide under reflux + heat
    • CH3CH2CO2CH3CH3 + H2O ⇌ CH3CH2CO2H + CH3CH2OH
    • CH3CH2CO2CH3 + NaOH → CH3CH2CO2Na + CH3OH
  • Why is the reaction between a carboxylic acid and an alkali salt not reversible?
    The carboxylic acid salt product is the anion of the carboxylic acid. The anion is resistant to attack by weak nucleophiles such as alcohols, so the reaction is not reversible.
  • What are fats and oils esters of?
    Glycerol and long chain carboxylic acids (fatty acids). Vegetable oils and animal fats can be hydrolysed to give soap, glycerol and long chain carboxylic (fatty) acids.
  • What is glycerol and what intermolecular forces does it form?
    • Propane-1,2,3-triol.
    • Forms hydrogen bonds very easily and is readily soluble in water.
    • Used in cosmetics, foods and in glues.
  • What is soap, and how does it cause grease to be washed away?
    • Long chain carboxylic acids, produced by the hydrolysis of fats, act as soaps.
    • The polar CO2- end is hydrophilic and mixes with water. The long non-polar hydrocarbon chain is hydrophobic and mixes with grease. So this allows the grease and the water to mix and be washed away.
  • What is biodiesel and how is it synthesised?
    • A mixture of methyl esters of long chain carboxylic acids - vegetable oils can be converted into biodiesel by reaction with methanol in the presence of a strong alkali catalyst.
  • What is the functional group of an acyl chloride?
    R-COCl
    • -noyl chloride
  • Why are acyl chlorides and acid anhydrides much more reactive than carboxylic acids and esters?
    • -Cl and -OCOCH3 groups are classified as good leaving groups, due to less effective delocalisation.
  • What is the main difference between acyl chlorides and acid anhydrides?
    The byproducts.
    • Acyl chlorides mostly give off HCl, whereas acid anhydrides give off RCOOH.
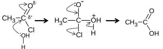
  • What is the change in functional group, reagent and condition for the reaction between an acyl chloride and water?
    • Change in functional group = carboxylic acid
    • Reagent = water
    • Conditions = room temperature
    • RCOCl + H2O → RCOOH + HCl
    • Observation - steamy white fumes of HCl given off
  • What is the change in functional group, reagent and conditions for the reaction between an acid anhydride and water?
    • Change in functional group - carboxylic acid
    • Reagent - water
    • Conditions - room temperature
    • (RCO)2O + H2O → 2RCO2H
  • Outline the nucleophilic addition elimination mechanism between ethanoic acid and water.

    .
  • What is the change in functional group, reagent and conditions for the reaction between an acyl chloride and an alcohol?
    • Change in functional group - ester
    • Reagent - alcohol
    • Conditions - room temperature
    • RCOCl + CH3CH2OH → RCOOCH2CH3 + HCl
    • Observation - steamy white fumes of HCl given off
  • What is the change in functional group, reagents and conditions for the reaction between an acid anhydride and alcohol?
    • Change in functional group - ester
    • Reagents - alcohol
    • Conditions - room temperature
    • (RCO)2O + CH3CH2OH → RCOOCH2CH3 + RCOOH
  • Why is nucleophilic addition-elimination of acid anhydrides/acyl chlorides with alcohol as a reagent much better than using carboxylic acids to make esters?
    Reaction is much faster and is not a reversible reaction.
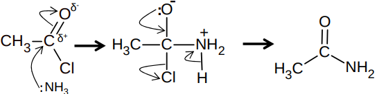
  • What is the change in functional group, reagent and conditions of the reaction between an acyl chloride and ammonia?
    • Change in functional group - primary amide
    • Reagent - ammonia
    • Conditions - room temperature
    • RCOCl + 2NH3 → RCONH2 + NH4Cl
    • Observation - white smoke of NH4Cl given off
  • What is the change in functional group, reagents and conditions of the reaction between an acid anhydride and ammonia?
    (RCO)2O + 2NH3RCONH2 + RCOO-NH4+
    • Change in functional group - primary amide
    • Reagents - ammonia
    • Conditions - room temperature
  • Outline the nucleophilic addition-elimination mechanism for ethanoic acid and ammonia.
    .