Save
...
3.3.5 alcohols
PMT notes
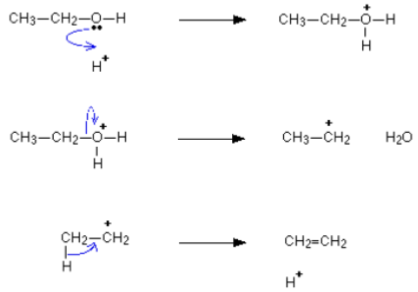
3.3.5.3. elimination reactions
Save
Share
Learn
Content
Leaderboard
Share
Learn
Created by
Ruby Squires
Visit profile
Cards (5)
how can alkenes be formed?
dehydration of
alcohol
-
water
removed from the molecule
dehydration
conditions
excess of hot
sulphuric
acid is added and
aluminium oxide
used as a catalyst
elimination
mechanism
what does this elimination reaction mean?
addition
polymers can be produced from fermentation without the need for
crude oil
- non-renewable resource
what does fermentation produce?
the primary
alcohol
which is then dehydrated to produce an
alkene
used in the production of addition polymers