3.3.10.1 bonding

Subdecks (1)

Cards (23)

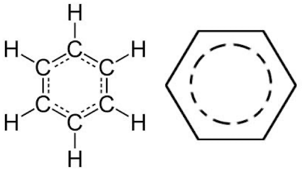
  • what is benzene?
    aromatic compound with a ring of 6 carbon atoms with 6 hydrogen atoms and a ring of delocalised electrons
  • length of bonds
    each bond in the benzene ring has an intermediate length in between a double and a single bond
  • electron structure
    outer electron from the p-orbital of each carbon is delocalised to form the central ring
  • ring structure 

    makes benzene very stable compared to other molecules of a similar size
  • cyclohexatriene vs benzene
    • when Benzene was first discovered, its structure wasn't known
    • predicted from empirical measurements that it has a similar structure to cyclohexatriene
  • prediction of enthalpy change of hydrogenation for benzene
    -360 kJmol-1
  • actual enthalpy change of hydrogenation of benzene
    -208 kJmol-1
  • arenes
    compounds that contain benzene as part of their structure
  • arenas physical properties
    high melting points due to high stability of the delocalised ring but low boiling points as they are non-polar molecules and often cannot be dissolved in water