carbohydrates

Subdecks (1)

Cards (23)

    • Most carbohydrates are polymers
    • All carbohydrates are made up of carbon, hydrogen and oxygen
  • monosaccharides
    the monomers that make up carbohydrates
  • Glucose is a monosaccharide with six carbon atoms. This means it's a hexose monosaccharide.
  • Glucose's structure is related to its function as the main energy source in animals and plants. Its structure makes it soluble, so it can be easily transported. Its chemical bonds contain lots of energy.
  • structures of alpha and beta glucose
    A) CH2OH
    B) CH2OH
    C) H
    D) OH
    E) O
    F) H
    G) OH
    H) H
    I) OH
    J) H
    K) H
    L) OH
    M) OH
    N) H
    O) OH
    P) H
    Q) O
    R) H
    S) OH
    T) OH
    U) H
    V) H
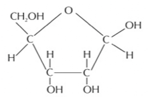
  • Ribose is a monosaccharide with five carbon atoms - this means it's a pentose monosaccharide.
  • ribose structure
    A) CH2OH
    B) O
    C) OH
    D) H
    E) OH
    F) H
    G) H
    H) OH
    I) H
    • Monosaccharides are joined together by glycosidic bonds.
    • During synthesis, a hydrogen atom on one monosaccharide bonds to a hydroxyl (OH) group on the other, releasing a molecule of water - this is a condensation reaction.
    • The reverse of this synthesis reaction is hydrolysis - a molecule of water reacts with the glycosidic bond, breaking it apart.
  • disaccharide
    two monosaccharides joined together
  • maltose
    disaccharide formed when two alpha glucose molecules joined together by a glycosidic bond
  • sucrose
    disaccharide formed from alpha glucose and fructose
  • lactose
    a disaccharide formed from galactose with either alpha or beta glucose
  • polysaccharide
    more than tow monosaccharides joined together
  • amylose
    lots of alpha glucose joined together
  • formation of maltose
    A) synthesis
    B) hydrolysis
    C) glycosidic bond
    • Glycogen is the main energy storage material in animals. Animal cells get energy from glucose too, but animals store excess glucose as glycogen
    • Its structure is very similar to amylopectin, except that it has loads more side branches coming off it .
    • Loads of branches means that stored glucose can be released quickly, which is important for energy release in animals.
    • It's also a very compact molecule, so it's good for storage.
  • what is glycogen
    another polysaccharide of alpha-glucose.
    • Cellulose is the major component of cell walls in plants.
    • When beta-glucose molecules bond, they form straight cellulose chains.
    • The cellulose chains are linked together by hydrogen bonds to form strong fires called microfibrils
    • The strong fires mean cellulose provides structural support for cells
  • what is cellulose
    long, unbranched chains of beta-glucose.