Save
...
Paper 1
Algebra
Solving quadratic equations
Save
Share
Learn
Content
Leaderboard
Share
Learn
Created by
Connor McKeown
Visit profile
Cards (40)
What is the first step in solving a
quadratic
equation using factorisation?
Rearrange
it into the form \(
ax^2
+
bx
+ c =
0
\)
View source
Why is it easier to use the side where \( a \) is positive when solving a quadratic equation?
It
simplifies
the
factorisation
process
View source
If you have the equation \( (x + 4)(x - 1) = 0 \), what are the two equations you need to solve?
x
+
4
=
0
or
x - 1
=
0
View source
What does it mean if \( A \times B = 0 \)?
Either
\(
A
=
0
\) or \(
B
=
0
\)
View source
How do you solve the equation \( (x - 3)(
x
+ 7) = 0 \)?
Set
\(
x
-
3
=
0
\) and \( x +
7
=
0
\)
View source
What are the two solutions for the equation \( (x - 3)(x + 7) = 0 \)?
x = 3
or
x = -7
View source
What is a common mistake when solving equations like \( x(x - 4) = 0 \)?
Dividing
both sides by \( x \) at the
beginning
View source
How do you solve \( 2x - 3(3x + 5) = 0 \)?
Set \(
2x
-
3
=
0
\) and \(
3x
+
5
=
0
\)
View source
What are the two solutions for the equation \( 2x - 3(3x + 5) = 0 \)?
x = \frac{3}{2}
or x = -\frac{5}{3}
View source
What is the first
step
in solving a quadratic equation by completing the square?
Replace
the
first two
terms \(
x^2
+
bx
\) with \( (
x +
p)^
2 -
p \)
View source
How do you express \(
x
^2 + 10x + 9 = 0 \) in completed square form?
(x +
5
)^
2
-
16
=
0
View source
How does the quadratic formula relate to completing the square?
The quadratic formula is
derived
from
completing the square
View source
What is the discriminant in the quadratic formula?
The part of
the
formula
under
the square
root,
\(
b^2
-
4ac
\)
View source
What does it indicate if the discriminant \( b^2 - 4ac > 0 \)?
There are 2 different solutions
View source
What does it indicate if the discriminant \( b^2 - 4ac = 0 \)?
There
is only
1
solution, sometimes called "
two repeated solutions
"
View source
What does it indicate if the discriminant \( b^2 - 4ac < 0 \)?
There are no solutions
View source
How do you use a calculator to solve quadratic equations?
Type the
equation
into the
calculator
and use the
quadratic formula
View source
What are the steps
to
solve a quadratic equation by factorising?
Rearrange
into the form \( ax^2 + bx + c = 0 \)
Factorise
the quadratic
Set each factor equal
to
zero
Solve
for \( x \)
View source
What are the
steps
to solve a
quadratic
equation by completing the square?
Rearrange
into the form \(
x^2 + bx +
c =
0
\)
Replace \(
x^2 + bx
\) with \( (
x +
p)^
2
- p \)
Rearrange to make \(
x
\) the subject
Solve for \(
x
\) using \( \pm \sqrt{} \)
View source
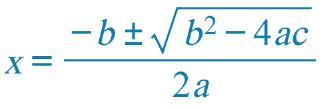
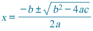
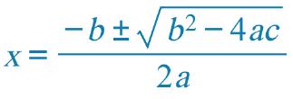
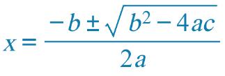
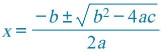
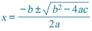
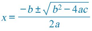
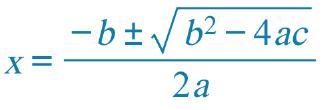
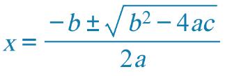
What is the quadratic formula?
The
quadratic
formula is \(
x
= \frac{-b \pm \sqrt{b^2 - 4ac}}{2a} \)
Used to find solutions of \( ax^2 + bx + c =
0
\)
View source
What does the discriminant tell you about a quadratic equation?
If \( b^2 - 4ac > 0 \):
2
different solutions
If \( b^2 - 4ac = 0 \):
1
solution (two repeated solutions)
If \( b^2 - 4ac < 0 \):
no
solutions
View source
What is the formula for the discriminant in a quadratic equation?
The
discriminant
is given by \(
b^2
-
4ac
\).
View source
What does the sign of the discriminant indicate about the solutions of a quadratic equation?
The sign indicates whether there are
0
,
1
, or
2
solutions.
View source
What does it mean if \( b^2 - 4ac > 0 \)?
It means there are
2 different solutions.
View source
What does it mean if \( b^2 - 4ac = 0 \)?
It means there is only
1
solution, sometimes called "
two repeated solutions
".
View source
What does it mean if \( b^2 - 4ac < 0 \)?
It means there are
no solutions.
View source
What are complex solutions in the context of quadratic equations?
Complex solutions
are those that include \( i \)
terms.
View source
What does it indicate if \( b^2 - 4ac \) is a perfect square number?
It indicates that the
quadratic
expression could have been
factorised.
View source
Can you use a calculator to solve quadratic equations?
Yes
, but a
method
must still be
shown.
View source
What must be done to a quadratic equation before using a calculator to solve it?
The quadratic equation must have "=
0
" on the
right-hand side.
View source
How should final answers be presented when solving quadratic equations?
Final answers should be presented as specified, for example, correct to
2 decimal
places.
View source
What is the procedure to solve the equation \( 3x^2 - 2x - 4 = 0 \) using the quadratic formula?
Identify \(
a = 3, b = -2, c = -4 \).
Substitute into the quadratic formula.
Use
a calculator to find solutions
:
First solution
: \(
x = 1.54 \)
Second solution
: \(
x = 0.869 \)
Present
both answers together.
View source
When should you solve a quadratic equation by factorisation?
When explicitly asked to solve by
factorisation.
When solving
two-term
quadratic equations.
When the quadratic expression can be easily
factorised.
View source
When should you use the quadratic formula to solve a quadratic equation?
When asked to leave solutions correct to a given
accuracy.
When the quadratic formula may be
faster
than
factorising.
When in
doubt
, as it always
works.
View source
When should you solve a quadratic equation by completing the
square
?
When instructed to complete the square in part (a) of a
question.
When making \(
x
\) the subject of
harder
formulas.
View source
What should you do if your calculator gives whole numbers or fractions as solutions?
This means the
quadratic
equation does
factorise.
View source
What is the process to solve \( x^2 - 7x + 2 = 0 \) using the quadratic formula?
Substitute \(
a = 1, b = -7, c = 2 \
) into the formula.
Use a calculator to find solutions:
First solution: \( x = 6.70 \)
Second solution: \(
x = 0.30 \
)
Round final answers to
2 decimal places.
View source
What is the method to solve \( 16x^2 - 82x + 45 = 0 \) if factorisation is not obvious?
Use the quadratic formula with \(
a = 16, b = -82, c = 45 \).
If factorisation is
spotted
, use that
method
instead.
View source
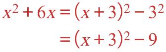
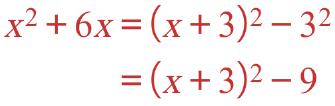
How do you complete the square for \( x^2 +
6x
+ 5 = 0 \)?
Find \( p \) by
halving
the middle number.
Write \(
x
+
6x
\) as \( (x +
3
)^
2
-
9
\).
Solve the equation by taking square roots and
isolating
\( x \).
View source
What are the final solutions for \( x^2 + 6x + 5 = 0 \) after completing the square?
The solutions are \( x =
-5
\) and \( x =
-1
\).
View source