Mechanics of Ventilation

Subdecks (1)

Cards (42)

    • Conducting zone: anatomical dead space; air moves by bulk flow
  • Anatomical dead space refers to the part of the body that does not facilitate gas exchange (conducting zone). No movement of oxygen.
  • Respiratory zone: air moves by diffusion. Used for gas exchange
  • Q = Flow
    ΔP = Pressure gradient
    R = Resistance
  • Flow is directly proportional to the pressure gradient inside the lungs (the higher the pressure gradient, the faster the flow).
  • Pressure gradient is the difference between the atmospheric pressure and the pressure inside the lungs (air moves to higher pressure to lower pressure).
  • Example:
    • If the atmospheric pressure is higher than the transpulmonary pressure inside the lungs, it promotes inhalation.
    • If the transpulmonary pressure is higher than the atmospheric pressure, it promotes exhalation.
  • Turbulent flow = disorganized flow
  • Air moves in all directions and does not follow a particular pattern.
  • Turbulent flow causes collisions between molecules of air, which results in the flow to quickly lose speed in a higher pressure.
  • Higher pressure gradient is required to maintain flow rate.
  • Requires more force or higher pressure gradient to have an air flow, which results in an increased resistance.
  • Turbulent flow of air is important for the upper respiratory tract, it provides the time for the nasal cavity to humidify the air.
  • Laminar flow = streamlined flow
  • Occurs in the lower respiratory tract. The airflow becomes relatively more laminar or faster from the bronchi down to the alveoli.
  • Layers of air are straightforward.
  • If the flow of air is higher, therefore, the resistance will decrease (The flow of air is inversely proportional to the resistance).
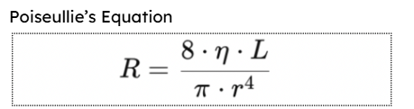
  • Where: R = Resistance
    η = Density
    L = Length
    r = Radius
  • Resistance is directly proportional to the density.
  • If the density increases because of the humidity, the resistance will increase as well. If the resistance to the air flow increases, it would be more difficult for the air to flow through the airways.
  • Higher humidity promotes difficulty in breathing.
  • P = Pressure
    V = Volume
    1 = Constant temperature
  • The pressure of a gas is inversely proportional to its volume provided that the temperature is constant.