Cards (22)

  • External validity
    the extent to which we can generalise the results of a research study to people, settings, times, measures, and characteristics other than those used in the study
  • Threats to external validity
    • novelty effect: temporary boost in performance, engagement, or interest when individuals encounter something new or unfamiliar.
    • experimenter characteristics: age, gender, how they talk
    • selection bias
    • participant characteristics: age, gender etc.
  • Quantitative statistics
    Allows us to relate properties of an appropriate sample to a population from which the sample is taken
    • descriptive statistics
    • inferential statistics
  • Descriptive statistics
    Describe basic features of data such as central tendency
    • mean
    • median
    • mode
    and spread
    • SD
    • range
  • Inferential statistics
    Draw generalised conclusions beyond the data in front of us
    Trying to quantifiy the probability that an observed estimate is = population estimate using CIs
  • Types of t-test
    Independent t-test
    • compares two means based on independent data (data from two different groups)
    dependent t-test
    • compares two means based on related data (data from the same people measured at different times AKA matched samples)
  • Rationale of t-tests
    • sample comes from same population = expect mean to be roughly equal
    • if difference between samples is larger than expected based on SEM we assume
    1. no effect and sample means in our pop fluctuate a lot. we have by chance collected two samples that are atypical of the population from which they came
    2. the two samples come from different populations but are typical of their respective parent population. the diff between samples represent genuine diff between the sample (null hypothesis is NOT correct)
  • Rejecting the null hypothesis
    if observed difference between samples gets larger, we become more confident that 2. is correct (null hypothesis is rejected)
    if null hypothesis is incorrect, we gain confidence that the two sample means differ because of the different experimental manipulations (IV) imposed on each sample
  • t-test: (how to get t value)
  • The general linear model (GLM)
  • Assumptions of t-test
    • both parametric tests
    • sampling distribution is normally distributed
    • data types are measured at the interval level
    Indepedent t-test specific:
    • variances in population are roughly equal (homogeneity of variance)
    • scores in different treatment conditions are indepedent (come from different people)
  • Independent t-test FORMULA
    X (with dash) = means
    s = SD
    n = number of sample
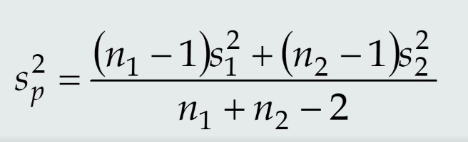
  • SD in independent t-test
  • indepedent t-test() function in R
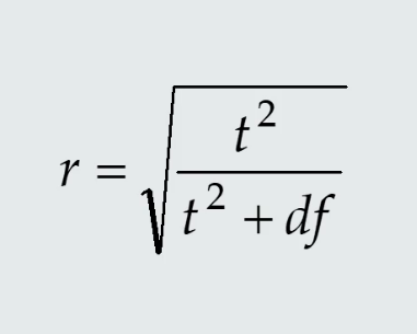
  • Effect size (r)
  • p value and significance
    p >0.5 = difference not significant
    p <0.5 = different signidicant
  • Dependent t-test
    D = difference in mean before and after
    μD = hypothesized mean difference in the population. In most cases, this is set to 0
    sD = The standard deviation of the differences between paired observations.
    N = number of paired observations
  • dependent t.test() function in R
  • effect size in dependent t test
    same calculation
  • How to report results for ITT
  • How to report results for DTT
  • Alternative tests