Cards (25)

  • Counterbalancing with multiple conditions
    USE FACTORIALS
    5 conditions = 120 possible orders (5! = 5 x 4 x 3 x 2 x 1 = 120)
    6 conditions = 720 possible orders (6! = 720).
  • Other type of counterbalancing
    partial counterbalancing = use a mixture of orders but not every order possible.
    This differs from full counterbalancing, which uses all possible orders equally often
  • How to set partial counterbalancing
    Latin square
  • Limitations of Latin square
    some carry-over effects may remain
    • Condition A directly follows B in two out of the four orders (P2 and P4). This means A would get more ‘carry-over’ than other conditions.
    • Imagine that there was something about condition B that means it affects the condition immediately after it.
    • condition A would be more affected by this carry-over effect than other conditions
  • Solution
    balanced Latin square:
    • each element appear once in every row and column
    • each element follows the other elements only once across rows.
  • Correlation
    • extent to which two variables are related
    • measures pattern of responses across variables
    • pattern can then be quantified
  • Small +ve relationship between variables
    Line indicates relationship
  • +ve relationship
    • both variables rise together
  • -ve relationship
    • as one rises, the other falls
  • Measuring relationships
    • whether as one variable increases, does the other variable increase, decrease, or stay the same
    • calculate covariance
    • looks at how much each score deviates from the mean
    • if both variables deviate from mean by the same amount = they are likely to be related
  • Covariance
    • tells us how much scores on TWO variables differ from their RESPECTIVE MEANS
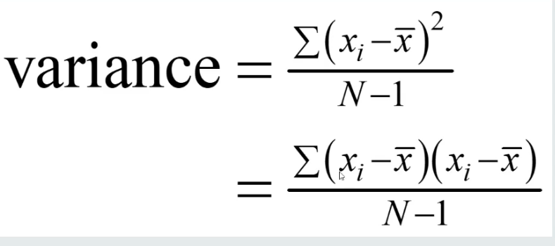
  • Variance formula
  • Covariance formula
    Calculate the error of variable 1 (x)
    Calculate the error of variable 2 (y)
    Multiply
    Divide by N - 1
    * need to have same number of datapoints for both variables, if not, remove from both so same number of datapoints
  • Covariance EXAMPLE
  • Limitations of covariance
    • depends on units of measurement
    • SOLUTION: standardize it (divide by SD for both)
    • the standardised version of covariance = correlation coefficient
    • unaffected by units of measurement
  • Calculating correlation coefficient (r)
    Divide covariance by SD of both
  • Correlation coefficient (r) EXAMPLE
  • Reporting correlations
  • Correlation notes
  • Solving inequalities
    • -ve number changes direction of inequality sign
  • Inequalities with 3 terms
  • Notation and boundary values
  • The notation with ONE boundary
  • Quadratic inequalities
  • Bivariate correlation
    Correlation between two variables
    • partial correlation considers more variables