6. Neuroactive Drugs I - Drugs in PharmaCol

Cards (21)

  • A drug is...
    ...A chemical that affects physioloigcal function in some way
  • Drugs at on target proteins
    • Enzymes
    • Ion channels
    • Receptors
    • Carrier proteins
  • Specificity is reciprocal
    • Individual classes of drug bind only to certain targets
    • Individual targets recognize only certain drugs
    • No drug is completely specific – dependent on dose -> off target (side) effects
  • What is a receptor?
    Receptors are protein macromolecules usually inserted across the lipid bilayer of the cell
  • Functions of receptors
    1. Recognition or detection of extracellular molecules
    2. Transduction; having detected the presence of an extracellular molecule they then bring about changes in cell activity
    They interact with, or bind, certain chemicals e.g. hormones or neurotransmitters with a high degree of specificity
  • Fussy receptors
    • Receptors are often name after, or classified, with respect to the drugs they bind
    • Pharmacologists utilise this specificity of interaction between drug and receptor
    • Designing drugs that bind to only certain subtypes of receptor found in different cells of the body
    • In the clinic this leads to drugs with fewer side-effects, i.e. drugs that are highly selective in their action
    • Example: nicotinic acetylcholine receptors bind the neurotransmitter acetylcholine AND the exogenous drug nicotine
  • Affinity and KD (“Kay Dee”)
    • The tendency of a drug to bind its receptor is governed by its affinity, referred to as KD equilibrium dissociation constant.
    • Defined as the MOLAR concentration of the drug required to occupy 50% of the receptors at equilibrium
    • Hence, HIGH-affinity drugs have LOW KD (micro to nanomolar range) and vice versa.
    • Bmax is the total number of receptors expressed in the same units as the Y values (i.e., cpm, sites/cell or fmol/ mg protein)
  • Relating occupancy to drug concentra(on
    • Most receptor binding interactions are concentration dependent
    • Binding is reversible (in most cases)
    • Binding obeys the law of mass action
    • At equilibrium, receptor occupancy is related to drug concentration by the HillLangmuir equation
  • Relating occupancy to drug concentraion

    • Most receptor binding interactions are concentration dependent
    • Binding is reversible (in most cases)
    • Binding obeys the law of mass action
    • At equilibrium, receptor occupancy is related to drug concentration by the HillLangmuir equation
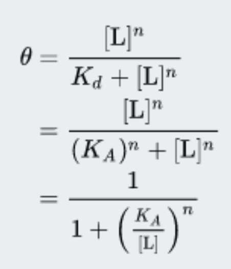
  • Equation
    • θ is the fraction of the receptor protein concentration that is bound by the ligand
    • [L] is the free, unbound ligand concentration,
    • Kd is the apparent dissociation constant derived from the law of mass action
    • KA is the ligand concentration producing half occupation,
    • n is the Hill coefficient.
  • Agonists, Antagonists, Par(al agonists
    • Many drugs bind to the receptor (i.e. have affinity), occupy it, and do little else
    • AGONISTS however bind and then activate the receptor i.e. the agonist has efficacy
    • After binding, agonists produce a change in the shape of the receptor - a conformational change.
    • This will ultimately lead to a response in a cell or tissue
    • The response is usually dosedependent
  • Agonists, Antagonists, Par(al agonists
    • If a drug binds to a receptor but does not cause activation = RECEPTOR ANTAGONIST
    • If a drug binds to a receptor and causes a biological response = AGONIST
    • FULL AGONIST elicits maximal response
    • If 100% of receptors are occupied but drug response is sub-maximal = PARTIAL AGONIST
  • Drug binding is not receptor activation – affinity vs. efficacy
    It is important to distinguish between drug binding and receptor activation
  • Drug antagonism mechanisms
    Drug antagonism can occur by various mechanisms
    • Chemical – interaction between two drugs in solution
    • Pharmacokinetic – one drug affects the absorption, metabolism or excretion of the other
    • Competitive antagonism – both drugs bind to the same receptor, this may be reversible or irreversible
    • Non-competitive antagonism – the antagonist interrupts the receptor – effect linkage
    • Physiological antagonism – two agents produce opposing physiological effects
  • Competitive antagonism
    • Reversible competitive antagonists produce a parallel shift to the right of the AGONIST log concentration vs. response curve
    • Commonest and most important type of antagonism
    • The right-ward shift in the dose response curve is not associated with change in slope or maximum
    • Dose ratio increases linearly with concentration
    • Commonly used to measure affinity of antagonists for receptors to classify them
  • Affinity
    Affinity describes how well a drug can bind to a receptor. Faster or stronger binding is represented by a higher affinity, or equivalently a lower dissociation constant.
  • Efficacy
    Efficacy is the relationship between receptor occupancy and the ability to initiate a response at the molecular, cellular, tissue or system level.
  • Don’t mix up affinity (KD) and efficacy (EC50)
    • The “potency” of a drug is dependent on both the drug’s affinity and efficacy
    • The EC50 should not be confused with the affinity constant, KD.
    • While the former reflects the drug concentration needed for a level of tissue response, the latter reflects the drug concentration needed for an amount of receptor binding.
    • Whilst it is tempting to conclude that for an agonist, it will produce a 50% response (EC50) when it is occupying 50% of the available receptors (KD), this is NOT usually the case.
  • Desensitization
    • Describes the loss of a drugs effect, commonly seen when given repeatedly or continuously (Orthosteric vs. Allosteric)
    • Time course for onset and recovery varies from seconds to weeks
  • Desensitization: Mechanism
    1. Change in receptor density at cell surface or conformation
    2. Exhaustion of mediators
    3. Enhanced drug metabolism
    4. Compensatory physiological mechanisms
    5. Extrusion of drugs from cells (could lead to drug resistance – P-glycoprotein)
  • Sensitization
    • Describes increased sensitivity to an agonist drug
    • Occurs after prolonged exposure to an antagonist
    • Usually reflects increase in post-synaptic receptors that are the target for the agonist, but blocked by the antagonist
    • i.e. a compensatory response
    • Time course again varies
    • May see “rebound” effect – sudden large response to smaller dose of agonist due to larger number of binding sites available (depending on efficacy of agonist)